Главная Юзердоски Каталог Трекер NSFW Настройки

Азартные игры

Ответить в тред Ответить в тред

Доска закрыта.

Check this out!
<<
Назад | Вниз | Каталог | Обновить | Автообновление | 154 16 121
лотереи Аноним Суб 22 Июн 2013 15:44:18 3802 1
19Кб, 182x64
182x64

Здесь есть лотерейщики?

Суб 22 Июн 2013 19:38:35 3803 2

сдесь всем похую на твои лотереи, бабушки на гэмблаче не сидят
/thread

Аноним Суб 22 Июн 2013 22:45:38 3804 3

>>3802 ну я на старзах килополяны играю, пойдет?

Аноним Вск 23 Июн 2013 07:36:11 3805 4

>>3804
Переведи на ньюфажеский язык.

Аноним Вск 23 Июн 2013 19:53:03 3807 5

>>3805 Олдфаги считают, что играть бесплатные турниры, где 3000-20000 игроков всё равно, что в лотерею. От мастерства не зависит ничего. Выигрывают там постоянно якобы всякие долбанутые, проигрывающие в других играх, или новенькие.

Аноним Вск 23 Июн 2013 23:50:56 3809 6

>>3807
А ты что скажешь? Много уже выиграл?

Где их там искать, алсо?

Аноним Пнд 24 Июн 2013 01:21:10 3810 7

>>3809 Килополя - это надёжный источник мелких выигрышей. Если устраивает копить по 5-100 центов и с них пытаться расти, то вперёд в килополя, там легко.

Аноним Пнд 24 Июн 2013 08:28:10 3812 8

>>3807
Почему от мастерства не зависит?

Аноним Пнд 24 Июн 2013 12:42:01 3813 9

>>3807
>От мастерства не зависит ничего
Нахуй пройдите с моей доски, сударь.

Аноним Пнд 24 Июн 2013 16:02:33 3814 10

>>3812
Зависит. Просто на них диспа самая большая. Ты можешь играть хорошо, но не заносить ничего в течении месяцев, может и лет, а можешь играть, как хуй простой и втащить СМ с первого раза.
>>3807
Килополя и фрироллы это разные вещи.

Аноним Втр 25 Июн 2013 01:39:18 3817 11

>>3814
>но не заносить ничего

Что ты имеешь в виду под ничего?

Аноним Втр 25 Июн 2013 09:27:47 3818 12

>>3817
Это значит за финалку не попасть. Максимум утроить, учетверить би, что для мтт совсем не существенно.

Аноним Птн 05 Июл 2013 12:06:47 3962 13

>>3802
Играю в столото, но все больше разочаровываюсь. Выигрывал 60 т.р. в 6 из 45. В последний раз в рапидо на 10 т.р. купил билетов и нихуя, только 5 отыграл.

Аноним Втр 30 Июл 2013 05:25:46 4302 14

>>3802
Недавно подсел на National Lotto. 5 из 39 и еще один шар выбрать из 14.
Пару раз 2 номера выиграл пока. В наебалово не верю, деньги, прибыль все поделены заранее, хотя в России с опаской бы играл.

Аноним Чтв 26 Сен 2013 11:32:11 4680 15

больше 250р не выигрывал, но всё равно нет, нет да поставлю.

Чтв 26 Сен 2013 23:59:02 4682 16

> нет-нет да поставлю.
На всякий случай..

Аноним Чтв 03 Окт 2013 19:02:32 4720 17
246Кб, 620x285
620x285

а кто-нибудь играл на thelotter.com ? лотереи всего мира, и вроде не наябывают нигре миллион выплатили

Аноним Срд 09 Окт 2013 00:20:33 4740 18

>>4720
В евромиллионы играю, но даю машине выбирать числа, считаю так лучше, а иначе human factor. Этим образом выиграл 100 фунтов недавно. Но наверное все равно не перекрыл потраченное.

Аноним Втр 29 Окт 2013 21:39:56 4913 19
22Кб, 333x373
333x373

BUMP

Аноним Срд 30 Окт 2013 03:42:05 4914 20

А есть какие-нибудь достойные отечественные альтернативы?
Чтобы как в фильмах, зажав выигрышный золотой билетик в потной ручке, прятаться от всех на заброшенной бензоколонке в ожидании даты выплаты.

Аноним Пнд 04 Ноя 2013 09:01:37 4938 21

>>4914
что за фильм?

Аноним Срд 04 Дек 2013 02:08:10 5120 22

>>4914
>отечественные
Нет. Одно наебалово, без шуток. Просто откровенное наебалово.

Аноним Срд 04 Дек 2013 08:03:12 5122 23

>>4938
Моторама, не?

Аноним Срд 18 Дек 2013 10:08:33 5181 24

Лотерея - налог на тупость.

Аноним Чтв 16 Янв 2014 01:54:14 5377 25
39Кб, 480x582
480x582

>>3802

Слил на столото 10к. Отбил обратно 2,4к. Их тоже слил. Обоссыте меня, штоле.

Аноним Пнд 20 Янв 2014 11:36:18 5442 26

>>5377
>обоссыте меня
Ну, так это-с всегда пожалуйста-с

Аноним Пнд 27 Янв 2014 13:12:14 5505 27

>>5377
Сам дохуя слил, потом почитал
http:_//goslotto.ru/viewtopic.php?f=1&t=7593

Аноним Птн 31 Янв 2014 17:28:39 5552 28
6Кб, 259x194
259x194

>>5181
О, Боря Буфет, да ты никак на дваче сидишь? А я сегодня еще пару няшных банкирочек выебал, такие дела.
Гоша Чернявый

Аноним Птн 31 Янв 2014 18:21:46 5553 29

Вы им деньги переводите а они вам циферки рисуют.

Аноним Чтв 27 Мар 2014 01:01:40 5866 30

>>3802

Въебал очереднойпоследнийчервонец килорублей в 5 из 36. Нахуй так жить, а?

Аноним Вск 30 Мар 2014 20:29:30 5879 31
Аноним Втр 15 Апр 2014 13:03:41 5936 32
45Кб, 474x265
474x265

>>5866
Нухуй лотереи играй в тотализатор в фонбете или в марафоне.

Аноним Птн 09 Май 2014 14:39:12 6217 33

Тысяч десять просрал в столото. Как, кстати, и во все лудоманские штуки, начиная от лотереи и покера, заканчивая биткоинами и кварками.

Аноним Птн 23 Май 2014 23:11:46 6370 34

Играю уже два года в разные лотереи Гослото. Не сказать, что по-крупному, хотя сам срок конечно солидный, и суммарно посчитать затраты я даже побаиваюсь. Самый крупный выигрыш был около 10к, в принципе вполне обычные выигрыши по 1-2к, но основная масса либо просираю, либо значительно меньше тысячи.
Что сказать. С одной стороны, понимаю, что просираю. С другой - видимо я просто лудоман, это потребность.
Ну и с третьей стороны - и это уже абсолютно мистическая вещь - я ведь искренне верю, что повезёт!
Даже не так. Не просто тупо верю в то, что я такой избранный, а скорее в элементарную статистику. При миллионе попыток, грубо говоря, обязательно выпадет. Как-то так. Можете поливать.

Аноним Суб 24 Май 2014 04:06:09 6375 35

>>6370
>При миллионе попыток, грубо говоря, обязательно выпадет. Как-то так. Можете поливать.
Не обязательно.

>Имея 2 одномастные карты "Бродвея", шанс получить роял флеш на флопе: 0.0008%
Хорошие такие шансы. И всё же, далеко не все, отыграв 650к рук (а по статистике примерно на такое количество и должен он выпадать) получали его. Да ты и сам всё это понимаешь, но крепкой тебе веры и скорее одуматься, есть куда более годные вещи с EV+, в которые можно влошиться.

Аноним Вск 25 Май 2014 10:42:24 6379 36

Хочу сняться с зависимости от лотереи. Алкоголь не помогает, на покер подсаживаться это надо ну очень много времени и очень сосредоточенным быть.
Посоветуйте что-нибудь, может онлайн-игру какую-нибудь, что ли.

Аноним Вск 25 Май 2014 13:58:03 6380 37
Аноним Срд 11 Июн 2014 23:01:32 6643 38

>>3962
кажись, у них совершенные алгоритмы, которые какбы "уворачиваются". Организаторы просто втыкают уровень увертывания - и пожалуйста, джекпоты растут, никто не выигрывает, так как программы выпадений просто не дают попасть выигрышу. Когда надо, организаторы уменьшают уворачиваемость и сливают джекпот какому-нить пидору, собрав ахуенную маржу. Иначе там у них через каждые два дня будет джекпот уходить, не успев поднятся.
Я вот о чем: когда они втыкают "защиту от выигрыша", даже мелкие выигрыши хуй возьмешь, как черная глухая полоса идет.

в помощь лудоблядям Аноним Срд 11 Июн 2014 23:34:37 6644 39

>>6379
лоторея в самом деле лохотрон, особенно в Россеюшке/ В доказательство могу привести то, что игра ведется обсолютно в темную, при том, что ПРИ СОВРЕМЕННОМ УРОВНЕ ТЕХНОЛОГИЙ можно все проводить абсолютно прозрачно в реальном моменте времени. Космические корабли уже 60 лет бороздят по небу, а у этих лохотронщиков все в темную как у уличных кидал. Ну это понятно.
Но если нравится играть именно в лохотрон, а не лоторею - то тогда всегда пожалуйста. Просто надо принимать это как должное, с трезвой головой, а не забивать голову фантазиями и мечтаниями.

Но есть и всегда была альтернатива, более-менее честная игра на тотализаторах и рулетках. Если играть на банальное удвоение ставок - то это лучший и честный выбор лудомана.

Кстати, для лохотронного столото-кено я разработал прекрасную систему на удвоение ставок. Суть токова: в кено, если ни один шар не выпал, то выигрыш - 20руб, то есть удвоение ставкитак как сам билет стоит 10руб. Стало быть, наша задача - не выиграть ни одного шара, для этого выбираем наименьшее количество зачркиваем чисел, а это 7 чисел. Мы выбираем наболее маловероятную наркоманскую комбинацию, которая может выпасть, и зачеркиваем 7 шаров. Почему 7, а не десять, уже объяснял: чем больше шаров зачеркнуто, тем больше вероятность "задеть" какой-нить выигрышный номер и не получить ничего. Допустим, мы купили 50 одинаково зачеркнутых билетов по 10 руб, это 500руб. Если получилось все как задумано, и ни одни шар не совпал, то мы выиграли по 20 руб в каждом варианте, а общий выигрыш 1000руб, чистая прибыль 500руб.
Когда я попробовал эту свою систему, то в первом же разе с своей "наркоманско-невыигрышной комбинацией" угадал сразу 4 номера из семи, что хотя тоже дало мне удвоение ставки. Так что мои грезы сразу рухнули насчет гарантированного выигрыша. Эта злоебучая лоторея опять провела меня и все мои планы посторить яхту фейл и безблагодатность.
Но кому то моя прекрасная система принесет удачу. Говорят же Нет пророка в своем отечестве, * У сапожника нет нормальных сапог, все в лоптях ходит да воздух горохом портит*, типа придумавшего систему она не принесла успеха, но другим подфартило.

Аноним Втр 17 Июн 2014 01:06:37 6730 40

>рашколото

сцуко пидоры ебаны, пока только покупал билеты и только проигрывался на все выигрыннае - регулярно были мелкие выигрышы по 20-600руб. как только снял 200 сраных рублей, - ВСЕ! как отрубило, нихуя нет уже полмесяца НИЧЕГО! придется аккаунт менять играл на сайте
Ебаные вороватые пидорашки.

Аноним Суб 28 Июн 2014 09:44:39 6938 41

Лотореи это конечно хорошо. Если это лотореи. Но. организация лоторей сделана так, что почти у всех опытных игроков складывается представление, что это лохотрон. Лохотрон - хорошо это или плохо? По всей видимости, да. Хорошо тем, что позволяет организаторам контролировать процесс и не давать "лоторее" обанкротится. Плохо игрокам, потому что создает ощущение безысходности и проебанности этой страны.
Почему в России в принципе не возможно создать честную лоторею? Из-за запредельного уровня коррупции и мздоимства. Ну и конечно же менталитет еще не созревшей в рыночных отношениях страны и молодого бизнеса. Должны пройти поколения, пока не родится поколение аристократов, когда само понятие наебалова будет не приемлемо для будущих аристократов и филантропов. Пока же этого не предвидится даже в сне.
Какова реальная практика организации столото? Очень просто, основано на жажде наживы для богатых и мечте бедных случайно разбогатеть. Для игроков, которые играют с сайта, дана возможность на первых порах чуть выиграть. Поэтому играть постоянно на одном и том же аккаунте бесполезно. Кто чертит билеты, тут больше шансов попасть на средний выигрыш. Кому же достаются джекпоты - это большой вопрос.
Играйте в лохотрон, господа.

Аноним Вск 29 Июн 2014 22:03:40 7004 42

Есть группа маньяков, помешанных на гослото:
http://www.helpset.ru и написавших программу генератор выигрышных чисел. Все это конечно похвально, но тут загводка вот еще в чем - использование программы стимуоирует игровую заинтересованность и подстегивает игрока на включение шестого чувства. А удачи можно потом списать на чудеса программы.
Это как в той самой старой байке: школьник не любил учится, и не любил делать уроки. Был отъявленным троечником. Но тут ему посаны подсказали, что надо написать шпаргалки. И этот троечник стал усиленно делать шпаргалки, сделал их 130 штук и хорошо сдал экзамен на пятерку. Мы то знаем, что во время написания шпаргалок этот школьник вынужден был изучить всю программу назубок, отчего и хорошо сдал экзамен.
Другая похожа байка: школьник готовился к экзаменам и прослышал, что обучение в сне очень помогает. И стал надиктовывать каждый вечер в магнитофон учебную программу, чтобы потом в сне ему прочитывался текст. Так прошел месяц и он хорошо сдал экзамен. И говорит сестре: это благодаря моему методу обучения в сне. Сестра: - Да я каждый вечер сразу выключала магнитофон, чтобы он тебе спать не мешал. И тут мы догадываемся, в чем дело.
Так что всякие системы, программы выигрышей, чудо-технологии выигрышей - все это хуйня и замануха, но кому то по статистике повезет. Там уж останется сказать, что суперсистема помогла.

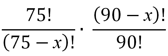
математика Аноним Срд 02 Июл 2014 21:51:37 7066 43
3Кб, 552x184
552x184

Еще лет 10 назад понял суть всех рашколотерей. Тогда несколько раз покупал билеты Русского лото и было очень странно, как так получается, что из аж 90 чисел остается всего 3-4 шара и каждый раз какое-то из этих чисел оказывается у меня в билете. Даже интуитивно чувствовалось, что такого не может быть. Нашел формулу расчета вероятности выигрыша в русском лото - пик релейтед, сейчас кстати заебешься ее гуглить. х - это количество оставшихся, невыпавших шаров. И что выходит, вероятность выиграть, когда остается 3 невыпавших шара 57,5%. Когда 4 - 47,6%. То есть реально у меня должен выигрывать каждый второй билет, но я их купил к тому времени уже штук 10 и хуй разу что выиграл.

Идем теперь на сайт русского лото. Вот, например http://www.stoloto.ru/ruslotto/archive/1023 тираж в котором осталось 3 шара. Число билетов, принявших участие в розыгрыше 651902. Число выигрывших билетов (прийдется просуммировать столбик) 195452. То есть выиграло около 30% билетов вместо 57,5%. И где блять еще 27,5%.

Берем другой тираж. http://www.stoloto.ru/ruslotto/archive/1020 Осталось 4 шара. Всего билетов 717197. Выиграло 141281. То есть 19% вместо 47. И опять, где блять 28% ? И мне даже похуй как они там это подстраивают, просто сразу стало понятно, что с этими лотереями связываются только полные долбоебы. Но на самом деле все видимо еще хуже. Ведь я уже сказал, что купил больше 10 билетов, то есть даже по этим шансам хоть 1 но дложен был выиграть хотя бы 60 рублей. Но блять хуй. После этого я не уверет даже, что все эти 141281 выигрышных билетов вообще существуют в реальности где-то еще, кроме таблички на их сайте.

Аноним Срд 02 Июл 2014 23:24:27 7069 44

>>7066
Так как это государственные лотореи, то им был дан сверху указ - стричь купоны на пользу правительству и заинтересованным лицам, типа спорт, хуе-мое, туды-сюды. Пенсионеры то все равно деньги понесут. Это национальная особенность.
В время и после войны продавали государственные займы, причем чуть ли не насильственно - стране нужны были деньги, и в виде займов было изъято куча средств. Понятно, что возврат был потом небольшой, но любой человек это понимал.
Допустим, человек хочет заниматся благотворительностью на пользу государству, стране и народу. Чем отдавать деньги сомнительным фондам и откровенным мошенникам в шкуре волка не лучше ли просто купить билет лото? Деньги однохуйственно пойдут "куда надо". А единицам людей и выигрыш небольшой подкинут.
Так разум то понимает, но душа вожделеет.

Аноним Птн 04 Июл 2014 09:01:52 7096 45

Мухаха, придумал новым метод в общественной лотерее, как еще более увеличить сборы для организаиоров.
Допустим, столото хорошо раскручена, конкуренты подавлены и устранены, все пучком, львиная часть покупателей совершают покупки вариантов через интернет.
В статистике выдаем все время завышенные данные, раз в пять. Типа выиграли по мелочи 5 тыс человек, 4 номера угадали 204 человек и т п. На самом деле забираем всю выручку от некоторых тиражей, подбрасывая клиентам минимальные выигрыши в некоторых тиражах. зАБИРАЕМ ВСЮ ВЫРУЧКУ И ОТДАЕМ 1% в виде минимальных выигрышей. Так как ныне тиражи происходя по несколько раз в день, и отслеживат реальную статистику некому и незачем, то выгода будет миллиардная, за счет агрессивной рекламы, раздутого джекпота и т п. в МЕСЯЦ НАБЕГАЕТ 4 МИЛЛИАРДА РУБЛЕЙ, что неплохо.
Я простой глупый человек догадался о таком только сегодня, но организаторы замыслили это с самого начала! Что значит у них образование, что значит голова!

Аноним Птн 04 Июл 2014 19:46:35 7098 46

Эй, лотереёбы!

Давайте смоделируем ситуацию. В нашей лотерее 1 выигрышный биллет. Он приносит миллион долларов.
Всего билетов два миллиона.
1 билет стоит 1 доллар.

Есть ли выгодная стратегия игры в такую лотерею? Или мы всегда зальем больше, чем выиграем?

шарик пусть это жемчуг Птн 04 Июл 2014 22:19:05 7101 47

>>7098
Зойчем ты миллионы привел? Будь попроще.

Есть два наперстка, в одном шарик, в другом нихуя. Выигрыш приносит один шарик. Всего шансов два. Один шанс стоит один шарик.

Есть ли выгодная стратегия игры в шарики?

Аноним Вск 06 Июл 2014 22:58:27 7109 48

>>7066
Ты сам долбоёб. Мне даже лень смотреть на правильность твоих расчётов. Когда мне было ещё лет 11, я уже прекрасно понимал суть всех этих лотерей. Это же блять просто очевидно тогда было для любого человека с мозгами. Ты платишь n рублей за билет. В лотерее участвуют m билетов. Логично, что выручка организаторов составляет n*m рублей. Только вот призовой фонд во всех этих лотереях почему-то составлял ровно (n*m)/2 рублей. Даже не зная тогда понятия матожидания, уже просто на примитивном уровне самоочевидно, что при таком раскладе если ты платишь 100, то назад в среднем получаешь 50. Ну и нахуя с этим связываться в long-distance, спрашивается?

За всю жизнь я играл только в то, что потенциально может иметь плюсовое матожидание: в основном в покер и ставки на спорт немножко (к последнему есть две интерпретации: одна гласит, что для того, чтобы переиграть букмекера, нужно разбираться в том или ином виде лучше, чем букмекер; другая утверждает, что букмекер - лишь посредник на поле сильных и слабых игроков, и если ты сильный + можешь отбивать букмекерскую маржу и выходить в плюс, то это ничем не отличается от покера по сути; так или иначе, ставки в БК для меня оказались негодны по причине невозможности раскрутиться с небольших денег, в отличие от покера).

Аноним Пнд 07 Июл 2014 20:32:15 7114 49

>>7109
Ебанько. Там речь о том, что даже официально объявленный призовой фонд разыгрывается каким-то непонятным образом. Примерно как тут >>5505. Фонды фондами, но они еще и сверх этого что-то мухлюют.

Аноним Пнд 07 Июл 2014 21:12:19 7115 50

>>7114
А не похуй ли тебе, какое у тебя матожидание? Официально объявленное минус овер 9000 или неофициальное минус 100500? Мне вот, например, абсолютно всё равно. Матожидание в лотереях настолько плохое, что не позволяет надеяться даже на мимолётную удачу, как в рулетке (там матожидание совсем небольшое в минус по сравнению с лотереями).

Аноним Пнд 07 Июл 2014 22:40:51 7116 51

>>7115
В лоторее действует закон подлости.
Ты годами играешь в систему, высчитывая комбинации не спя ночами, тратишь уйму денег в ожидании топового матожидания. А в итоге какой-то неграмотный узбек берет своими засаленными руками один лоторейный билет в забегаловке и срывает джекпот. И коту под хвост твое матожидание.
Гжде же справедиваздь!? в пизде твоей мамаши

Аноним Пнд 07 Июл 2014 23:35:04 7117 52

>>7115
>А не похуй ли тебе, какое у тебя матожидание?
Жду тебя в покере, мой самый лучший в мире друг.

Аноним Пнд 07 Июл 2014 23:57:09 7118 53

>>7116
>Ты годами играешь в систему, высчитывая комбинации не спя ночами, тратишь уйму денег в ожидании топового матожидания.

Какие блядь системы? Выпадения шаров являются независимыми событиями, и чтобы это понимать, даже базовый курс по теории вероятностей проходить не нужно. Но нет же, полно в мире долбоёбов...

>>7117
>Жду тебя в покере, мой самый лучший в мире друг.

Нет, спасибо. Пять лет играл, года три назад завязал. Поднял очень много, но доход со временем сильно упал, дисперсия очень выросла, и я решил закончить карьеру.

длинные дистнации Вск 13 Июл 2014 10:51:28 7195 54

>cтолото.ру Рапидо

Этот пидор опять вчера джекпот взял на красивой фигуре лестница. В прошлый раз на лестнице взял, так и на этот раз лестницу нарисовал. Сцуко ждет когда джекпот поднимется, и хуярит свою фигуру все розыгрыши подряд на длинной дистанции по четыре варианта для каждого дополнительного шара, пока матожидание не срастется. А оно обязательно наступит, розыгрыши каждые полчаса.
А почему я так не делаю? - Потому что хуйнет больших денег на долгую дистанцию.

Аноним Пнд 11 Авг 2014 13:03:04 7323 55
7Кб, 200x150
200x150

Как только в 6 из 45 джекпот дошел до 200млн, как тотчас объявился победитель. Ну епт, как это по-москальски.

Аноним Срд 13 Авг 2014 14:52:16 7327 56

>>7066
Двачую, когда пытался броситьт курить, покупал вместо пачки сигарет билет русского лото. так за неделю было 4 билета. Не хаватало 1 числа. (ну и плюс не забываем что в билете 30 а не 89 чисел). Думаю ну полюбому 100-200 должен взять. Хрен. в каждом из билетов было число 25 которое сука не выпало.

Аноним 13/10/14 Пнд 16:02:24 7665 57
Котаны котанчики, я никогда не играл в азартные игры. лотереи и прочую хуету. Но тут вдруг приперло проверить удачу. В течении года собираюсь покупать по одному лотерейному билету в месяц. но вот вопрос: в какую лотерею играть? Мне в идеале нужна самая тупая, где самому ничего заполнять не надо. а можно лишь тупо вытащить билет на удачу. Ну и соответственно надо чтоб без наебалова розыгрыши проводились.
Аноним 14/10/14 Втр 20:45:16 7679 58
>>7665
> лотереи
> без наебалова
Смотрите все, еще один фантазер вылупился. Лет-то сколько, школьничек?
Аноним 01/06/15 Пнд 20:32:02 13487 59
>>13478
Ты делишь шкуру неубитого медведя. Это может пагубно повлиять на твою жизнь, серьезно. Охота быстрой наживы делает из нас зомби, вечно неудовлетворенных озлобленных зомби. И если в покере есть хотя бы призрачная иллюзия, что ты когда-то сможешь подняться, потому что уровень игры будет расти, то в лото ты можешь начать себя хроническим неудачником. Лучше в гринку поиграй, шансы куда выше, а выигрыш сочнее.
Аноним 01/06/15 Пнд 20:32:33 13488 60
>>13487
>начать считать себя
Очевидный фикс.
Аноним 07/06/15 Вск 12:03:03 13544 61
Какова вероятность выпадения соседних чисел в 6 из 49?
Аноним 07/06/15 Вск 12:57:43 13547 62
>>13487
>шансам, которые где-то 0.001% от 100%.
Интересно, как он считал.
Аноним 09/06/15 Втр 22:37:42 13646 63
>>13544
>>13544
Такая же как и двух не соседних.
Аноним 15/06/15 Пнд 23:56:32 13802 64
Криптовалютные лотереи и рулетки. Комиссия 1-2%. предел 20-100втс, может где и больше.
Трудность только в вводе/выводе из фиата.
Аноним 16/06/15 Втр 10:51:52 13808 65
>>3802
Выиграл 75$в сумме в олл-ин шутауте. Самый успешный лоттерейщик в треде.
Аноним 16/06/15 Втр 10:53:41 13809 66
>>13808
Почитал тредик - нихуя я что-то не самый успешный.
Аноним 30/06/15 Втр 03:46:53 14180 67
>>7101
Ебал я ваших мамашей, я хочу выиграть мильён, нах. Вот написали добрые люди, что наебалово кашерное совсем, теперь даже не знаю. В прозрачную и несильно жадную яб сыграл. Сидел бы с потными рученками на бинзоколонке и так далее.
Аноним 30/06/15 Втр 07:55:13 14182 68
>>14180
Душевнобольной, вернитесь в свой тред.
Аноним 01/02/16 Пнд 13:34:43 17621 69
А я люблю полудоманить, почему бы и нет. Залил в столото тысяч 6, выиграл рублей 600-700, которые там же и залил дальше. Джек-пот изменит мою жизнь, а остальное - так, азарт :3
Аноним 01/02/16 Пнд 21:33:08 17628 70
22Кб, 394x101
394x101
Вот ещё чуть-чуть занёс
Аноним 01/02/16 Пнд 21:33:43 17629 71
В смысле бабла в кассу, а не то что вы подумали, лол
>>17628
Аноним 26/02/16 Птн 13:19:52 18303 72
Анон, чтобы ты понимал вероятность выигрыша в лотерею приведу такой пример:
Возьмём одно зернышко гречки, пометим краской. Аккуратно положим его на пол. Высыпем сверху еще 32 (тридцать два) 50-ти килограммовых мешков гречки. Хорошенечко перемешиваем получившуюся кучу совковой лопатой, запускаем руку и вытаскиваем то самое зернышко. Вау, джекпот!
Так вот, 32 мешка гречки - это эквивалент вероятности выигрыша в лоторею 6 из 45. Причём в честную лоторею, а не армянскую столото.
Аноним 12/08/16 Птн 13:11:07 28386 73
>>7327
>в каждом из билетов было число 25 которое сука не выпало
Это означает, что можно просмотреть все билеты на точке продажи, отбросит те, в которых часто попадаются одни и теже цифры, т.к. они скорее всего не выигрышные, таких должно быть дохуя, и отобрать несколько, в которых этих часто повторяющихся цифр нет. Скорее всего продавцы давно просекли эту фишку, то есть купить выигрышный билет практически нереально.
Аноним 13/08/16 Суб 19:31:23 28426 74
>>3814
>Килополя и фрироллы это разные вещи.
Что такое килополя и где их искать? Нормальным языком, пожалуйста, не надо подчеркивать свой неебический профессиональный опыт чрезмерным использованием профессионального сленга.
Аноним 13/08/16 Суб 21:47:56 28432 75
>>28426
Ой, нахуй пошол пидор)))
Аноним 27/10/16 Чтв 22:24:00 30766 76
1314650277948.jpg 229Кб, 1173x742
1173x742
Давайте поговорим об удаче и лотерее.
Мне вот по жизни часто везёт. И везёт периодами, то есть повезло один раз - потом весь день везёт, все дела удаются, а проблемы решаются.
Я никогда не увлекался азартными играми (разок был в казино в реале), и, честно говоря, нахожу их настолько скучными, что даже вникать не хочется.
Но я вот чё подумал. Стоит ли в такие дни когда везёт брать и покупать лотерейный билет какой-нибудь?
И какие норм лотереи есть нынче? Можно ли делать это онлайн, например, но чтобы всё честно?
Аноним 31/10/16 Пнд 18:47:28 30876 77
>>30766
Стоит, попробуй, попытка не пытка.
И да, кстати, двачую вопрос, какие есть нормальные( без кидняка) лотереи, желательно иностранные, чтобы с многомиллионным джекпотом и в валюте, а не в дереве ебаном
Аноним 02/01/17 Пнд 01:34:34 32308 78
Нихуя не понял, кто говорит что рашколото - наебалово. То есть этих еженедельных миллионеров что, не существуют? Манямирок? Обычные люмпены, которые после работы зашли в киоск и взяли билет, им повезло.

Типо так не бывает, что-ли? Бывает и ещё как.
Аноним 27/02/17 Пнд 08:39:12 33584 79
>>32308

Это пишут довены, которые ебашат расширенные ставки сливая свою зарплатку и не выигрывают нихуя, потому что ВНЕЗАПНО вероятность выиграть очень низкая в том же 6 из 45 даже если ты зачеркнул 10 чисел. И особого смысла армянам не давать возможности выигрывать каждую неделю кому-то по ляму нет - бабло к ним все равно рекой течет, это надо быть просто очень охуевшими и неумными чтобы пиздить все деньги себе и придумывать мифических победителей. Проще реально кому-то лям ссыпать иногда, причем я не говорю что генератор у них не подкручен, это уже другая история
Аноним 10/03/17 Птн 17:00:54 33748 80
3KBDRY9BMzo.jpg 23Кб, 604x274
604x274
Аноним 12/03/17 Вск 06:44:35 33763 81
Ребята,какую лотерею посоветуете?Просто играл в ,,Русское лото,, и напрягает,что там числа часто вообще не выпадают.Хотя сегодня я таки выйграл 110 р
Аноним 13/03/17 Пнд 12:30:42 33772 82
>>33763
На старзах лотерея. Cardmatch на нл25. 50 долларов сегодня выиграл. Еще 50 пока за столами играл. Итого сто за день. И 20 еще с утра. Жизнь без заб, ну ты понел. Депай кароч.
Аноним 14/03/17 Втр 13:21:20 33785 83
%D0%90%20%D1%80%D0%B5%D0%B0%D0%BB%D1%8C%D0%BD%D0%BE%20%D0%BA%D1%82%D0%BE-%D0%BD%D0%B8%D1%82%D1%8C%20%D0%B2%D1%8B%D0%B8%D0%B3%D1%80%D1%8B%D0%B2%D0%B0%D0%BB%3F
Аноним 14/03/17 Втр 14:40:09 33790 84
Аноним 19/03/17 Вск 13:14:49 33888 85
>>4720
А иракцу 6 лямов. Вроде ровные ребята, но в рашке их банит ркн.
Аноним 23/03/17 Чтв 12:25:28 33915 86
>>5866

Кстати, по ощущениям самая проигрышная лотерея у гослото. Ни разу не выигрывал больше 80 рублей. Даже в 7 из 49 поднимал 4000+ поставив полтинник, хотя вроде бы наоборот вероятность выигрыша самая высокая должна быть
Аноним 23/03/17 Чтв 12:43:44 33916 87
>>33915
Так лотерея это вообще мегапроигрышное занятие. Она минусова сама по себе (математически), так еще и если легальная, то ты с выигрыша платишь налоги, что делает ее супер минусовой.

Поэтому лучше иди в покер катать. Покер — наш выбор. Делай деп и катать.
Только на нл25 не иди. Поле очень сложное, фиши минусят и без вас, паразитов, там тошно. Тяжелые деньги, невзрачная жизнь.
Аноним 23/03/17 Чтв 20:23:08 33921 88
>>33916
Свали с моего нл25, в прошлом месяце из-за умников даже $2к не сделал. Все решили заработать, на работу пиздуйте.
Аноним 24/03/17 Птн 13:27:39 33924 89
>>33921
Это ты свали. Это я из-за тебя не сделал. Пошел ты нахуй, ублюдок охламон. Паразит.
Аноним 15/04/17 Суб 22:06:23 34515 90
Кто-нибудь играл в Oz Lotto?
Аноним 02/06/17 Птн 11:27:08 35531 91
>>34515
Я, с тех пор, как свалил с армянского Столото.
Выигрываю по 28-29 долларов (самый низ).
Аноним 22/07/17 Суб 12:29:58 36374 92
Котаны, хочу вкатиться, зарегался в столото, да, наслышан про лохотрон рашколотерей, но все же хочу попробовать. Во что лучше играть, я нихуя не понимаю в этом, где, по идее, выше шансы? Зачем по несколько полей, когда можно заполнить одно? Что там с идентификацией, нужна ли она или можно не париться, пока не срубишь мильоны т.е. можно вообще не париться?
Аноним 08/11/17 Срд 21:38:47 38860 93
>>6217

>заканчивая биткоинами

Да, вот с битками ты обосрался.
Аноним 28/11/17 Втр 02:34:50 39146 94
Бесплатная лотерея Вы можете использовать в игре 3 бесплатных билетов за день
https://goo.gl/i1B6RF
Джекпоты Бесплатной Лотереи:
6 совпадений - 1,078935 BTC
5 совпадений - 0,0514272 BTC
4 совпадения - 0,000519 BTC
3 совпадения - 0,0000274 BTC
2 совпадения - 0,0000034 BTC
шансы так себе за 2 дня только раз выиграл
Аноним 03/12/17 Вск 20:59:36 39173 95
>>39146
Как заполняешь билет? Или ты рандом выбираешь?
Аноним 22/12/17 Птн 17:14:46 39327 96
>>36374

Самая высокая вероятность выиграть суперприз - 5 из 36, очевидно. Но там остальные призы - фиксированные - 80, 800 и 8000. И 2 числа угадать меньше вероятность чем в 6 из 45

>Зачем по несколько полей, когда можно заполнить одно

Чтобы можно было заполнить несколько. Чем больше комбинаций ты ставишь - тем выше вероятность выиграть, но и бабок ты сливаешь больше, соответственно.
Njerlich !A8uaUpfqkE 17/01/18 Срд 19:00:34 39565 97
Лото.png 41Кб, 782x652
782x652
Тут меня недавно осенило.
Придумал теорию, посчитал статистику и вот что получил:

Для выигрыша в тираже №1215 "Русское лото" необходимо иметь в билете числа 64 4 28 75 58
и не иметь числа 20 66 39 33 60 17.

Так, что купил два билета с немного отличающимися стратегиями выбора. Цель выиграть 100к рублей, закрыв как можно раньше все 30 чисел билета.

Удачи мне!
Аноним 17/01/18 Срд 21:52:02 39567 98
>>39565
Ты проверил числа, которые выпадают чаще и реже других???777
Аноним 18/01/18 Чтв 16:01:22 39573 99
>>39567
Собрал небольшую статистику по цифрам в предлагаемых на сайте билетах.
Аноним 22/01/18 Пнд 16:44:50 39590 100
>>39565
64 3тур
04 9тур
28 25тур
75 3тур
58 14тур

20 2тур
66 28тур
39 2 тур
33 1тур
60 2тур
17 2тур
Аноним 27/11/18 Втр 14:41:51 42231 101
Шёл вчера мимо киоска столото. Давно уже забил на лохотрон, но тут сука как дёрнуло, типа «да сегодня точно твой день». Купил билетик, 6 полей по 100 рублей. Пиздец, последние 600 рублей. Выиграл целых ебаных 100 рублей. Охуенно фартануло. Вывел в кошелек, заполнил одно поле рандомно, ночью чекну, лол.
Аноним 30/12/18 Вск 13:49:58 42315 102
Ну как там со столото ? Что то выйграть можно кроме 100 рублей ?
Аноним 19/02/19 Втр 12:43:24 42677 103
Бля, каждый год в честь ДР покпаю билет в The Lotter, а теперь переводы с карты не работают! И что делать?
Аноним 19/02/19 Втр 16:18:22 42681 104
>>42677
> а теперь переводы с карты не работают!
С выходом из спячки тебя!
>И что делать?
Использовать альтернативные методы оплаты в виде электронных кошельков либо карт иностранного выпуска.
Аноним 01/07/19 Пнд 23:05:04 43164 105
После того, как столото поставило лохотроны, на которые может прийти и попялиться любой мимокрокодил, все ваши стратегии и методы наёбки идут лесом. Против вас тупо играет теория вероятности. Можно хоть на 1 2 3 4 5 6 7 ставить, шанс там один хуй одинаковый. Между тиражами никто в барабан не лазит. Сгоняйте лично на Текстильщики, пропердите там 4 часа между розыгрышами и сами убедитесь.
Аноним 02/01/20 Чтв 14:24:08 43760 106
Какие есть зарубежные онлайн лотереи чтобы можно было купить билет из рашки?
Аноним 04/02/20 Втр 12:14:26 43949 107
>>43760
Я играю на thelotter-е, но есть инфа что это - лохотрон и я проебался. Если найдешь по нему инфу, то кидай сюда, вместе посмотрим.
Аноним 04/09/20 Птн 13:42:49 44951 108
Бамп.
Аноним 14/09/20 Пнд 18:22:08 44983 109
>>13544
Вероятность одинаковая, даун. В этом и суть
Аноним 14/09/20 Пнд 18:27:30 44984 110
>>33748
Очевидная хуйня
Аноним 14/09/20 Пнд 18:31:14 44985 111
>>39565
Еще один даун, придумал он теорию лол
Аноним 28/09/20 Пнд 11:36:29 45043 112
>>3802 (OP)
В лотереи чтоле никто больше не играет?
Я вообще люблю читать о победителях лотерей, которые миллионы поднимают, очень вдохновляюще смотреть как эти клоуны все просирают.
Аноним 27/10/20 Втр 22:55:09 45228 113
>>45043
Где почитать можно?
Аноним 28/10/20 Срд 14:37:17 45233 114
Аноним 21/11/20 Суб 06:40:06 45308 115
>>45043
Проблема в том, что в загнивающей ни интересно играть в лотерею. Максимум, что ты можешь выйграть - это 40% от того, что ты всрал.
Аноним 04/04/21 Вск 14:17:33 46559 116
>>45043
Кто просто миллионы поднимает, тот действительно проебывает не редко. А из тех кто выиграл десятки миллионов - нормально живут.
Аноним 09/07/21 Птн 05:10:00 46940 117
У Столото появилась какая-то Лотомания. Я короче зашёл туда. И там есть игра три в ряд.

И я не понял нахуй она там нужна, что дает, и если ты набираешь очки, то что дают эти очки?

Кто-нибудь есть из знатоков Столото? Чтоб объяснить что это за хуйня?
Аноним 10/07/21 Суб 16:47:53 46945 118
>>46940
P.S. Я узнал ответ на свой вопрос. Когда заходишь в Лотоманию, то чтобы участвовать в розыгрыше призов недели или месяца надо 1000 и 2000 баллов. Баллы дают за купленные билеты Русского лото. А ещё написано, что можно сыграть в игру три в ряд и получить доп. баллы.

А когда играешь в игру три в ряд, то я, например, часа 3-4 дрочился играл, то мне дали + 10 баллов. То есть чтобы 1000 баллов задрочить надо играть в три в ряд около 300-400 часов.
Аноним 11/07/21 Вск 14:28:26 46949 119
IMG202107111527[...].jpg 98Кб, 483x639
483x639
>>46940
А если засмеялся, то проиграл?
Аноним 01/09/21 Срд 17:37:42 47455 120
Есть ли возможность через сайты покупать билеты как на Столото в лотереях Украины/Беларуси/Казахстана россиянам?

Аноним 09/09/21 Чтв 10:50:55 47526 121
>>47455
Нахуя? Думаешь, там что-то кардинально отличается от Столохов?
Аноним 16/09/21 Чтв 17:35:33 47591 122
>>47526
Хочется в СНГ-лотереи сыграть. Есть ли там возможность покупать на сайтах билеты на себя.
Аноним 04/10/21 Пнд 17:43:45 48011 123
мимо тот самый баккара кун из https://2ch.hk/gb/res/41230.html
палю годноту

есть на многих сайтах, в т.ч. и на офшорном марафоне роспись на русские лотереи. и не такая как в билетах, а на выпадение конретного числа, на порядок, чет/нечет, вообщем кому интересно - чекните линию.

собственно - с сайта столото делаете выборку с последних 100 конов, подключаете дефолтную статистику, ищите комбинации - profit.

пс, советую КЕНО и РАПИДО;)
Аноним 23/11/21 Втр 17:43:02 48326 124
>>48011
привет! можно поподробней, что за роспись и где ставить? в столото или в офшорных бк?
Аноним 24/11/21 Срд 15:18:44 48329 125
>>48326
роспись - это линия от бк с разными исходами на которые нужно ставить. В столото ты не поставишь на них, только в бк.
Аноним 24/11/21 Срд 22:15:07 48331 126
Аноним 24/11/21 Срд 22:20:19 48332 127
>>48329
Как у тебя с баккарой дела? Стабильно плюсуешь за все эти прошедшие лета?
Аноним 26/11/21 Птн 15:12:46 48335 128
>>48332
ну да, вот параллельно выкупил ещё с лотереями темки и немного в других играх профитую
Аноним 10/12/21 Птн 01:01:45 48378 129
Ебать старый тред
Аноним 16/12/21 Чтв 00:08:24 48403 130
>>48378
А хули, видно двачеры в лотереи не верят. Хотя в целом продажи лотерей в России только увеличиваются.
Аноним 24/01/22 Пнд 16:30:24 48601 131
Аноним 08/05/22 Вск 21:14:12 49095 132
Бамп.
Аноним 19/05/22 Чтв 20:10:06 49128 133
Пощу свои итоги за полтора года в Столото. Играю по чуть-чуть, на то что не жалко.

Общее количество потраченных денег = 39 528 рублей.
Общий выигрыш = 17 143 рублей.

Пять крупнейших выигрышей:
1. 6 из 36 - 1959.
2. Рапидо - 750.
3. Рапидо - 500.
4. Спортлото 5 из 36+1 - 400.
5. Всё или ничего, Три лимона, Рапидо - 300.
Аноним 09/06/22 Чтв 22:58:54 49218 134
16518416163390.mp4 1382Кб, 856x720, 00:00:05
856x720
>>49128
Через год игры выиграл 5 косарей в 5/36. Там вроде 4 числа совпало. Общую потраченную сумму не считаю, но наверное порядка 20-30к.

>Всё или ничего, Три лимона, Рапидо
Делал беглый анализ и пришел к выводу, что это все васянские лотереи с хуевым ROI. Джекпот там отобьет что-то вроде одной десятой вложенных средств. Лудомания конечно же не предполагает отбивание вложений, но все же.
Аноним 17/06/22 Птн 19:56:13 49224 135
>>49218
Ну я понял что вернуть в лотерях 1/3 суммы потраченной или почти 1/2 как у меня реально. Главное каждую копейку засчитывать.
Аноним 24/08/22 Срд 12:39:39 49340 136
Появилась новая официальная лотерея в РФ "Национальная Лотерея" - https://nationallottery.ru

Кто пробовал?
Аноним 27/08/22 Суб 02:39:10 49348 137
image.png 112Кб, 1079x405
1079x405
image.png 62Кб, 1100x502
1100x502
>>49340
Ну чет так себе, если честно
Аноним 27/08/22 Суб 10:38:31 49349 138
>>49348
А что не так? Это совершенно обычная вероятность для лотереи.
Аноним 21/11/22 Пнд 15:20:47 49738 139
Новая лотерейка уже хорошо конкуренцию Столото делает. Может эти пидоры в Столото изменят в лучшую сторону свои лотереи. А то совсем охуели без конкуренции.
Аноним 21/11/22 Пнд 20:11:00 49742 140
>>49348
>Частота тиражей
>Ежедневно, каждые 15 минут
Ахуеть там призовые фонды за 15 минут набигают.
Аноним 02/01/23 Пнд 14:21:26 50020 141
>>49742
Чел, чем чаще тираж тем меньше выигрывают суперприз.
Аноним 04/02/23 Суб 20:16:15 50352 142
>>50020
Ну я так понял там >>49742 сарказм был.
Аноним 12/02/23 Вск 13:20:49 50377 143
>>50352
Многие реально не знают как работают лотереи, так что не факт.
Аноним 12/03/23 Вск 21:09:21 50617 144
Какой у вас максимальный выигрыш был? У меня 1959р.
Аноним 17/03/23 Птн 13:36:25 50643 145
Купил три билета РУССКОЕ лото.
Посмотрим, смогу ли хотя бы не в полный 0 уйти
Аноним 17/03/23 Птн 13:36:53 50644 146
>>50617
> У меня 1959
За сколько билетов?
Аноним 17/03/23 Птн 13:38:53 50645 147
А сколько вообще примерно билетов в одном тираже с умеренным выигрышем? Под умеренным подразумеваю 10-100 тысяч.
Аноним 17/03/23 Птн 21:31:48 50660 148
>>50644
За дохуя. Вот этот пост >>49128 мой.

>>50643
Три билета это не о чем. Даже если все три проебут это ничего не значит. Зачастую в партиях/на сайте повторяющиеся цифры. Но Русское Лото 150р теперь, перешел на Мечталлион.

>>50645
Так смотря в какой лотерее. На 10к+ выигрыш особо не расчитывай. Там обычно в верхних границах например 1к, 5-10к и сразу 500к например или больше.
Аноним 19/03/23 Вск 14:08:31 50706 149
Есть , выиграл 0 билетов из трёх
Аноним 19/03/23 Вск 19:30:59 50711 150
Лол. Когда я был маленький (лет 10-12), у нас в городе в лотерейных киосках самые дешевые билетики были по 5 рублей, и я выпросил у мамки купить один такой, выигрыш с него был 15, купил на них ещё три билета таких и всё проебал.

В остальном: гос.лотереи непрозрачны (как мне кажется), не-гос лотереи у нас отсутствуют с середины 10-х, лото на всяких сайтах где тётки с огромными сиськами крутят билетики в шаре-считай, тот же Вулкан-пукан, ибо зареган на каких-нибудь охуительных островах, а по факту вообще никем не проверяется и никаким законам не подчиняется.
Аноним 19/03/23 Вск 22:06:13 50718 151
>>50706
Покупай разные лотереи, никогда не вкидывай в одну лотерею. Не покупай по несколько билетов на один тираж. Ну и как говорил этот результат ничего не значит.

>>50711
Тоже покупал за 5 рублей билеты. Мы тогда еще с другом ходили в компы, там как раз полчаса или час (уже не помню) 15 рублей стоил. Иногда ходили, а иногда покупали билеты и проебывали. Потом злились что лучше бы в компы пошли, но опять потом приходили. Несколько раз так проебывали.

Что значит прозрачны/непрозрачны? Я тебе рекомендую американские лотереи посмотреть где с разных ракурсов снимают и вообще будто графика выглядят эти лототроны. Столото и НацЛотерея в РФ зареганы и офисы имеют. А вот тем лотереям что до них были я не верю, там реально было овердохуя лотерей и это почти никак не контролировалось.
Аноним 29/03/23 Срд 13:18:06 50782 152
Пиздец я на это говно подсел.
Аноним 29/03/23 Срд 16:46:12 50783 153
>>50782
Давай рассказывай. Во что играешь, сколько влил, сколько забрал. А то тут скучно одному в треде.
Аноним 09/04/23 Вск 00:10:32 50887 154
А у вас есть знакомые/друзья/родственники выигравшие 500к и выше?
Настройки X
Ответить в тред X
15000
Добавить файл/ctrl-v
Стикеры X
Избранное / Топ тредов