[Ответить в тред] Ответить в тред



[Назад][Обновить тред][Вниз][Каталог] [ Автообновление ] 191 | 19 | 133
Назад Вниз Каталог Обновить

Што скажет Эйнштейн Аноним 24/02/16 Срд 01:59:53  341186  
(6Кб, 900x596)
Берём шест примерно в 1000 световых лет (можно даже в 1000 раз меньше), берём точку опоры с одного края и действуем на сторону с коротким концом.
Другой конец шеста преодолеет скорость света?
Ммм?
Аноним 24/02/16 Срд 02:01:27  341187
>>341186 (OP)
Посчитай, сколько тебе потребуется затратить энергии на такой перфоманс, и сам всё поймешь.
Аноним 24/02/16 Срд 08:01:00  341211
>>341187
Что поймёшь
Аноним 24/02/16 Срд 08:04:19  341212
Преодолеет, но информация не передастся.
Аноним 24/02/16 Срд 08:24:45  341215
>>341186 (OP)
Нет. Скорость распространения механического возмущения в теле равна скорости звука в этом теле. Скорость звука в шесте меньше скорости света в вакууме.
Аноним 24/02/16 Срд 13:59:44  341279
>>341215
чё ёпта?
Аноним 24/02/16 Срд 14:11:33  341280
>>341211
Все.
Аноним 24/02/16 Срд 14:12:00  341281
>>341215
Двачаю
Аноним 24/02/16 Срд 14:18:02  341282
>>341186 (OP)
Да, он будет двигаться со скоростью света т.кю ничто не может быть быстрее скорости света по ОТО и Эйнштейну. Но построить такой шест я думаю будет сложно.
Аноним 24/02/16 Срд 15:59:38  341304
Хорошо, с шестом не получится, а как насчет лазера? Направить луч лазера на поверхность луны и при перемещении на одну угловую секунду скорость луча на поверхности луны превысит скорость света. Ну и где ваши Эйнштейны теперь? Соснули?
Аноним 24/02/16 Срд 16:41:11  341321
>>341304
>скорость луча на поверхности луны превысит скорость света
у тя чо фотоны штоле перпендикулярно летят, объебос. луч то падает параллельно бля.
Аноним 24/02/16 Срд 16:47:08  341323
>>341304
>скорость луча
Скорость зайчика превысит, т.к. это не материальный объект. А вообще тред платиновый.
Аноним 24/02/16 Срд 16:55:47  341329
>>341323
>это не материальный объект
схуяли превысит если отражение воспринимается нами как столкновение частиц с частицами? у "зайчика" вообще не может быть скорости, он никуда не двигается, двигается свет к поверхности, а "зайчик" это место столкновения, это единичный момент столкновения частиц с поверхностью. вашего зайчика не существует, господа.
Аноним 24/02/16 Срд 16:57:53  341331
>>341321
>у тя чо фотоны штоле перпендикулярно летят, объебос. луч то падает параллельно бля.
Перечитал 3 раза и нихуя не понял. Параллельно чему лол?
Аноним 24/02/16 Срд 17:01:24  341335
>>341329
>>341331
>Параллельно чему лол?
Параллельно направлению испускания света же, у тебя материальный "зайчик" двигается перпендикулярно направления источника
Аноним 24/02/16 Срд 17:03:58  341339
>>341335
Да зайчик двигается быстрее скорости света, а Эйнштейн соснул.
Аноним 24/02/16 Срд 17:15:21  341350
>>341339
Зайчик никуда не двигается. Зайчик в моменты х и х+1 - это совершенно разные "объекты", если говорить очень грубо. К моменту возникновения второго первый уже исчез. Тут нет движения, а следовательно и ОТО тут ни при чем.
Аноним 24/02/16 Срд 17:15:58  341351
(4Кб, 246x205)
>>341339
Аноним 24/02/16 Срд 19:48:52  341409
Раз уж тред имени Эйнштейна, то тут и спрошу. Поясните за относительность времени. Оно настолько же относительно как и верх/низ? Для меня(ну большей части моего тела) и моего друга васи, даже если мыс стоим неподвижно обнявшись, время будет идти по разному? Что бы время бы одинковым ,нужно что бы мы занимали одно и тоже пространство? То есть этого физически не возможно?
Аноним 24/02/16 Срд 19:56:37  341412
Тоже спрошу тут. Почему гравитация в инфляционной модели вселенной со знаком минус?
Аноним 24/02/16 Срд 20:02:09  341416
>>341323
ня
Аноним 24/02/16 Срд 20:03:58  341417
И я спрошу, что во вселенной больше моего члена?
Аноним 24/02/16 Срд 20:22:10  341425
>>341186 (OP)
Платиновые треды сцаентача.
Аноним 24/02/16 Срд 22:07:09  341480
Что там с передачей информации с помощью квантовой запутанности?
Аноним 24/02/16 Срд 22:19:21  341487

>>341483
А что не так? Скорости света такая передача не преодолевает.
Аноним 24/02/16 Срд 23:01:49  341509
>>341501
А как же спин?
>Например, можно получить пару фотонов, находящихся в запутанном состоянии, и тогда если при измерении спина первой частицы спиральность оказывается положительной, то спиральность второй всегда оказывается отрицательной, и наоборот.
Аноним 24/02/16 Срд 23:12:22  341511
>>341186 (OP)
да, если шест будет абсолютно твёрдым телом.
Аноним 24/02/16 Срд 23:36:07  341515
>>341510
Т.е. спин изменить никак нельзя?
Аноним 25/02/16 Чтв 00:12:27  341522
>>341519
А если аккуратно?
Аноним 25/02/16 Чтв 16:58:49  341659
>>341524
пиздюк
Аноним 25/02/16 Чтв 18:10:31  341674
Все зависит от того с какой скоростью мы будем давить на короткий конец.
Аноним 25/02/16 Чтв 20:08:35  341701
>>341186 (OP)
Заткнись, сука.
Аноним 25/02/16 Чтв 20:25:58  341704
>>341674
С какой скоростью сможешь надавить на мой короткий конец?
Аноним 25/02/16 Чтв 22:41:29  341758
>>341339
зайчик нихуя не двигается быстрее скорости света. это все из-за ебаного непонимания физики. что есть твой ебаный зайчик? свет, который отразился от поверхности и вернулся к тебе в глаз. свет от солнца летит до тебя 8 + минут. соответственно если ты возьмешь лазерную указку, и будешь ей светить на обьект, удаленный от тебя на расстояние, равное расстоянию от солнца до земли, то ты будешь наблюдать охуительное явление - двинул лазерную указку, а заметил что зайчик вообще двигаться начал через 16+ минут. по моему то даже проще чем тут >>341350 . более того, в астрономии это говно широко применяется. зайчик ты мой.
Аноним 25/02/16 Чтв 23:22:14  341776
>>341215
>Скорость распространения механического возмущения в теле равна скорости звука в этом теле.
Значит ли это, что шест закрутится по спирали?

>>341186 (OP)
А
>Другой конец шеста
не сдвинется с места через и 1000 лет воздействия маленьких красных стрелочек?
Аноним 25/02/16 Чтв 23:28:00  341780
>>341776
>Значит ли это, что шест закрутится по спирали?
и такое может быть,спиральные галактики спиральны
>не сдвинется с места через и 1000 лет воздействия маленьких красных стрелочек?
не понял нихуя
Аноним 26/02/16 Птн 00:11:33  341797
>>341780
он пиздюк, не верь ему, всё сдвинется
Аноним 26/02/16 Птн 00:14:55  341800
>>341186 (OP)
Господи, несколько лет не заходил в саентач. А он все не меняется.
Аноним 26/02/16 Птн 00:42:38  341805
(13Кб, 900x596)
Аноним 26/02/16 Птн 00:58:02  341812
>>341797
я один хер не понял - каких красных точек? так то я прекрасно понимаю и >>341215
более того, я это >>341758
т.е. в оп вопросе полная ясность. не пойму что за красные точки и что он вообще несет?
Аноним 26/02/16 Птн 06:08:38  341875
>>341186 (OP)
>Другой конец шеста преодолеет скорость света?
nyet, короткая часть шеста будет совершать гармонические колебания, длинной части в основном будет похуй на её проблемы
Аноним 26/02/16 Птн 07:09:51  341890
>>341186 (OP)

Т.к. в разных галактиках полно птиц и прочей хуйни, которая любит сидеть на жердочках, массовый присест птиц на шест не позволит этого сделать, всё время увеличивая тяжесть опоры.


Другой конец шеста преодолеет очко твоей мамаши-даунитки, недоумок блядь ёбаный. Съеби нахуй отсюда и никогда больше не приходи.
Аноним 26/02/16 Птн 10:46:45  341931
>>341704
Если ты из дс, то можем поставить эксперимент сегодня вечером
Аноним 26/02/16 Птн 21:24:29  342068
>>341931
чё
Аноним 26/02/16 Птн 23:33:22  342108
>>341417
Всё
Аноним 27/02/16 Суб 00:33:08  342119
>>341417
Планковская длина.
Аноним 27/02/16 Суб 13:32:22  342194
>>341186 (OP)
Твоя супер алмазно-титановая палка погнётся или сломается.

/thread
Аноним 28/02/16 Вск 23:20:28  342685
>>342194
схуяли?
Аноним 29/02/16 Пнд 00:36:07  342699
>>342685
Наверное, потому что с левая часть шеста не сможет двигаться с такой скоростью, а правая часть может и будет. Или потому что любое тело упругое и может незначительно сгибаться, а если шест согнётся дохуя где, то в общем это будет ещё как заметно
мимостудент, не физик
Аноним 29/02/16 Пнд 00:43:54  342702
(49Кб, 1000x1414)
А что если взять супер прочную палку, три метра, положить как на рисунке, и надавить на рычаг со скоростью света?
Аноним 29/02/16 Пнд 00:54:50  342707
>>342702
То она пробьёт планету насквозь.
Аноним 29/02/16 Пнд 11:33:28  342782
только боженька знает ответ
Аноним 29/02/16 Пнд 13:11:03  342805
>>341304
Вопрос примерно так же нелеп, как если ты спросишь, перемещается ли твой взгляд выше скорости света, если ты смотрел через телескоп на одну галактику, а потом резко повернулся в другую и посмотрел на нее, хотя расстояние между галактиками больше 100млн. световых лет, т.е. твой взгляд преодолел расстроения 100млн. световых лет за пару секунд.
Аноним 29/02/16 Пнд 13:57:49  342815
>>342805
Два чая этому джентльмену
Аноним 29/02/16 Пнд 17:10:16  342868
>>342805
ебаааааааать
Аноним 29/02/16 Пнд 17:16:52  342871
>>342805
Да ты же хуйню полную порешь. Это не одно и тоже! Когда ты переводишь взгляд с одной галактики на другую, ты видишь сначала фотоны испущенные первой галактикой, а потом фотоны испущенные второй галактикой. Т.е. все логично и ничего не перемещается быстрее скорости света.
Теперь возьмем наблюдателя, который стоит на поверхности луны (или лучше планеты в системе альфа центавры, чтобы расстояние было еще больше). С земли мы направляем луч лазера на эту планету, наблюдатель на этой планете видит точку от этого лазера. Потом мы на земле поворачиваем луч на несколько угловых секунд, и точка на поверхности той планеты переместится быстрее скорости света.
ПОЭТОМУ ИДИ НАХУЙ УЕБОК ТУПОЙ, КАК ТЕБЕ ЕЩЕ ОБЪЯСНИТЬ ЧТОБЫ ТЫ ПОНЯЛ?!
Аноним 29/02/16 Пнд 17:46:44  342876
>>342871
Или школьник или шизофреник.
Даже не знаю что и хуже.
Аноним 29/02/16 Пнд 17:51:10  342877
>>342871
Я не писал, что это одно и то же, я писал, что оба подобных утверждения аналогично нелепы. Это к вопросу кто из нас тупой, что не может прочесть написанное.
Теперь о точке. Некорректно говорить о перемещении точки, т.к. она сама по себе не является объектом и не переносит информацию. Если ты посветил лазером на объект А, а потом на объект Б, это не значит, что ты перенес информацию из объекта А в объект Б, это значит, что информация вылетала из точки, где находишься ты сначала в одном направлении, а потом в другом. В точке Б ничерта не узнают информацию из точки А. Поэтому ни о каком перемещении объекта речи не идет. Все равно, что в разных частях планеты уронят с разнице в долю секунды два камня. Сначала камень упадет в одном месте, а потом в другом. Это не значит, что объект "точка падения камня" переместился выше скорости света.
Все еще непонятно?
Аноним 29/02/16 Пнд 20:56:06  342980
(187Кб, 546x520)
>>342871
>и точка на поверхности той планеты переместится быстрее скорости света.
Свет от лазера будет идти какое то время до него, потом когда ты переведешь лазер назад к себе под ноги, свет от лазера все ещё будет идти к нему и он будет думать что ты ему светишь, потом когда тебя мамка позовет собираться в школу, до него только дойдет свет того действия когда ты перевел лазер себе под ноги. На таких расстояниях лазер, все равно что шланг с водой.
Аноним 29/02/16 Пнд 21:20:58  343000
>>342877
>Это не значит
Нет значит.
>>342980
>свет от лазера все ещё будет идти к нему и он будет думать
>свет от лазера
>он будет думать
Таблетки прими, шизик.
Аноним 29/02/16 Пнд 21:27:42  343006
>>343000
В общем ты все понял.
Аноним 29/02/16 Пнд 21:35:29  343008
>>343006
>В общем
Ебал твою мамашу.
Аноним 29/02/16 Пнд 21:46:25  343012
>>343008
Какой агрессивный школьник.
Аноним 01/03/16 Втр 04:58:09  343126
>>341186 (OP)
Если ты не нашёл ответ за 5 минут в гугле мне тебя жаль, но ты, конечно, потраллить пришёл.
Аноним 01/03/16 Втр 07:57:03  343132
Представим на минутку двигатель, который разгоняет объект выше скорости света (неважно как, это мысленный эксперимент). Все, Эйнштейн соснул!
Аноним 01/03/16 Втр 07:58:06  343133
>>343132
Низзя. Даже в твоей голове мысли, а следовательно сам корабль, двигаются медленнее скорости света.
Аноним 01/03/16 Втр 11:09:20  343152
>>343133
>Даже в твоей голове мысли, а следовательно сам корабль, двигаются медленнее скорости света.
>Во второй половине 19 века в работах Г. Гельмгольца и Э. Геринга на нерве лягушки было показано, что биоэлектрический сигнал (ток, или потенциал действия), в отличие от электрического тока в обычном проводнике, распространяется по нервному волокну с конечной скоростью (3-120 м/сек).
У тебя и ракеты летать не должны.
>>343132
Ты хоть дописывай, что сарказм, а то некоторые не врубаются.
Аноним 02/03/16 Срд 22:42:36  343728
бамп
Аноним 02/03/16 Срд 22:46:23  343740
>>343152
>У тебя и ракеты летать не должны.
ебанутый шоле?
Аноним 04/03/16 Птн 23:43:46  344500
бамп
Аноним 05/03/16 Суб 01:12:40  344510
>>344500

зачем ты пинаешь мёртвый тред?
Аноним 05/03/16 Суб 15:44:38  344595
>>341186 (OP)
У тебя шест из какого вещества состоит?
Аноним 16/03/16 Срд 02:35:33  347038
>>341780
>не понял нихуя
>>341812
>каких красных точек?
>не пойму что за красные точки и что он вообще несет?

>воздействия маленьких красных стрелочек
>красных стрелочек
>стрелочек
>стрелочек
!

>маленьких красных
>стрелочек
Cмотри оп пикчу.
Аноним 16/03/16 Срд 05:51:01  347055
Скорее всего действительно преодолеет. Вообще много похожих примеров есть где сказочки энштейна не работают, но правительству выгодно держать людей в неведении.
Аноним 16/03/16 Срд 14:28:12  347202
>>347055
А всякие штуки предстазанные ото и через пару десятков лет оказавшиеся правдой это тоже сказочки?
Аноним 16/03/16 Срд 14:34:57  347203
>>347055
Конечно выгодно. А то если мир узнает, что это правда, то придётся палку длиной в 1000 световых лет делать
Аноним 16/03/16 Срд 18:27:20  347252
>>341186 (OP)
>система отсчета, мудила
Аноним 16/03/16 Срд 18:56:56  347257
Скорость колебания молекул в палке ниже скорости света
Аноним 16/03/16 Срд 21:43:42  347289
>>341417
Поскольку длина твоего члена меньше планковской длины, твой член не имеет физического смысла. Иди к философам.
Аноним 04/04/16 Пнд 20:29:34  353512
>>344595
>>344595
из школьного хлеба
Аноним 05/04/16 Втр 17:58:41  353703
>>341186 (OP)
толсто
Аноним 05/04/16 Втр 21:44:20  353771
(158Кб, 671x537)
>>341339
>>341350
>>341758
Аноним 05/04/16 Втр 21:46:50  353772
>>342702
>надавить на рычаг со скоростью света
Это как? Можно только сообщить силу (=ускорение). А до скорости света ускоряться долго.
Аноним 10/04/16 Вск 16:24:06  354969
(59Кб, 996x746)
Платина.
1 - начальное положение и реальной и воображаемой точки от лазера
2 - реальное положение точки для наблюдателя на Луне в какой-то неопределенный промежуток времени. Фотоны слоупочат.
3 - мнимое положение точки. Тот самый объект, который "перемещается со скоростью света". Он воображаем и из него нельзя никакой информации добыть.
4 - конечная позиция реальной и воображаемой точки от лазера.

То, что увидет наблюдатель на Луне будет, по сути, тректорией мнимой точки. Реальная точка будет двигаться по тому же пути, по которому двигалась точка мнимая. Специально для ОПа-хуя - представь, что ты играешь в какой-нибудь шутан по Интернету. Тебе сделали хедшот и тот, кто сделал хедшот сразу получает информацию об этом [движение мнимой точки очевидно только для лазера], тогда как ты замечаешь, что тебе дали по ебалу только спустя пару десятков миллисекунд [реальная точка]. Тут также.

С палкой будет также - её конец переместится только спустя некоторое время, тогда как начало сразу же.
Аноним 10/04/16 Вск 16:27:05  354971
>>354969
увидит
траекторией

фиксы.
Аноним 14/04/16 Чтв 12:34:32  356128
(12Кб, 369x248)
>>341186 (OP)
как же вы надоели, лжеразоблачители. иди покури это: "Мартин Гарднер - Теория относительности для миллионов" - просто и доступно (поймет даже пятиклассник, если у тебя проблемы с этим)

а по сути вопроса:
1. кинетическая энергия в теле передается посредством взаимодействия молекул, и эта скорость наааамного меньше световой.
2. даже если она была бы световой (или около того), то при приближении к скорости света, масса начала бы расти (экспоненциально, см. пикрил) => надо прилагать все больше усилий. в конце все тупо сведется к тому, что для перемещения бесконечно тяжелого тела необходимо приложить бесконечно мощную силу.
Аноним 15/04/16 Птн 16:50:28  356388
>>356128
Пруфы экспериментов, до какой макимальной скорости разгоняли материю. Может после определённой скорости материя перестаёт взаимодействовать с ёбазаконом об ограничении, ведь фотон безмассовый, что мешает убрать массу?
Аноним 15/04/16 Птн 17:17:10  356394
>>356388
Ну вот есть LHC, там разгоняли до (скорость света минус несколько милиметров в секунду), и всё работает строго по формулам относительности. Убрать массу у частицы с массой можно только аннигиляцией, но не думаю, что это то, что тебе нужно.
Аноним 15/04/16 Птн 22:22:07  356448
>>356388
Ограничение на скорость света имеет логическое обоснование, даже квантовую физику применять не нужно.
Чтобы разогнать материю тебе нужно применять либо электромагнитные взаимодействия, либо гравитационные. И те и другие распространяются со скоростью света.
Проблема в том, что если, допустим, тело находилось изначально на расстоянии 1 световой секунды от источника и не имело скорости относительно него, то фотонам или гравитонам потребуется всего 1 секунда чтобы достигнуть этого тела и оказать на него воздействие.
Но если тело уже двигается от источника со скорость, скажем, 0.5c, то волнам потребуется уже 2 секунды чтобы оказать воздействие на объект, следовательно интенсивность [читай сила] этого воздействия уменьшилась в два раза.
По мере увеличения скорости воздействие на объект будет снижаться и чтобы поддерживать интенсивность излучения [то есть мощность] на одном уровне, тебе потребуется больше энергии. Эта энергия будет значительно возрастать по мере приближения к скорости света. При скорости света взаимодействие никогда не достигнет второго объекта сколь большим не была бы интенсивность.
Отсюда растут ноги у возрастания массы.
P.S. Я рассмотрел одномерный случай, в трехмерном пространстве все ещё хуже становится за счет рассеивания, то есть обратно-квадратичной зависимости.
Аноним 16/04/16 Суб 01:15:11  356469
>>341186 (OP)
Нет, воздействие на твердые тела передается со скоростью звука в данной среде. А если еще учесть затухание колебаний молекул, то вряд ли удастся распространить заметное возмущение хотя бы на несколько километров.
Аноним 16/04/16 Суб 12:15:02  356510
>>356448
Годно пояснил.
Аноним 16/04/16 Суб 14:23:32  356529
>>356128
Только масса инвариант и от скорости не зависит.
Аноним 10/05/16 Втр 11:17:32  361528
https://ru.wikipedia.org/wiki/%D0%A1%D0%B2%D0%B5%D1%80%D1%85%D1%81%D0%B2%D0%B5%D1%82%D0%BE%D0%B2%D0%BE%D0%B5_%D0%B4%D0%B2%D0%B8%D0%B6%D0%B5%D0%BD%D0%B8%D0%B5

/thread
Аноним 10/05/16 Втр 15:33:43  361556
>>356448
Это в том случае, если воздействие - сторонее. Если же воздействие производится самим телом(реактивное движение) - всё норм, тело разгоняется дальше. Но мы, т.к. получаем инфу об этом теле с помощью эл.маг. волн можем регистрировать максимальную скорость обьекта как С, ибо эл.маг. волны НЕ МОГУТ передавать инфу быстрее.

Рюзюме: тел, летающих быстрее света - дохуя и больше, мы их просто НЕ ВИДИМ.
Аноним 10/05/16 Втр 17:09:23  361590
>>341186 (OP)
Нет, это невозможно, так как нельзя сделать такой шест. Но если в теории, то тоже нет, шест будет лететь со скорость света и пройдёт этот промежуток спустя 1000 лет, и окажется где нибудь в "Супер пустоте Эридана".
Аноним 10/05/16 Втр 17:15:07  361591
>>341186 (OP)
А что если использовать не шест, а эрегированный елдак Эльдара Джарахова?!
Аноним 10/05/16 Втр 19:20:37  361625
>>342805
блять, ору
Аноним 11/05/16 Срд 02:13:45  361722
>>341304
Конец луча двигается быстрее скорости света, а сам луч напоминает поливочный шланг, капли которого - фотоны.
Аноним 11/05/16 Срд 02:19:42  361723
>>342805
>перемещается ли твой взгляд выше скорости света
>если ты смотрел через телескоп на одну галактику
>а потом резко повернулся в другую и посмотрел на нее
>хотя расстояние между галактиками больше 100млн. световых лет
>ты
>посмотрел
>на нее
>т.е. твой взгляд
закрутился гравитационным искривлением пространства-времени прямо
>на неё.
Аноним 11/05/16 Срд 02:46:17  361725
>>361556
Хуйню несешь какую-то. Тело не может САМО СЕБЯ разгонять. Ему нужен какой-то переносчик взаимодействий [поэтому я и сказал, что нужно либо оказать электромагнитное действие, либо гравитационное], а это уже сторонний объект.
Само себя тело разгонять не может, нужен рабочий объект.

>Рюзюме: тел, летающих быстрее света - дохуя и больше, мы их просто НЕ ВИДИМ.

Все гораздо проще. Эти тела -- воображаемые. Они не переносят информацию. Тот же световой зайчик в примере с Луной и лазером.
Тело, двигающееся со скоростью выше скорости света будет абсолютно инертным, если уж на то пошло.
Аноним 11/05/16 Срд 03:37:31  361728
>>361725
>Эти тела -- воображаемые. Они не переносят информацию.
>Тело, двигающееся со скоростью выше скорости света будет абсолютно инертным

Пришпандорю сюда конус,
>если уж на то пошло
и вот эту пасту с википедии:

Поскольку никакой сигнал не может распространяться быстрее света, световой конус имеет прямое отношение к причинно-следственной структуре пространства,
а именно, он разделяет всё пространство-время на три части по отношению к вершине:
область абсолютного прошлого
(конус прошлого; все события, которые могли повлиять на событие в вершине), область абсолютного будущего
(конус будущего; все события, на которые влияет событие в вершине конуса)
и область абсолютно удалённого
(события, отделённые от вершины пространственноподобным интервалом, то есть не связанные с вершиной причинно-следственными связями).

>Тело, двигающееся со скоростью выше скорости света
как-бы должно находиться где-то в конусе прошлого и будущего,
а значит связано с событием, в вершине конуса.

Всё это, как-бы намекает на виртуальные частицы.
Аноним 11/05/16 Срд 03:39:28  361729
(55Кб, 600x332)
(13Кб, 321x320)
(0Кб, 148x23)
(0Кб, 196x22)
>>361725
>Эти тела -- воображаемые. Они не переносят информацию.
>Тело, двигающееся со скоростью выше скорости света будет абсолютно инертным

Пришпандорю сюда конус,
>если уж на то пошло
и вот эту пасту с википедии:

Поскольку никакой сигнал не может распространяться быстрее света, световой конус имеет прямое отношение к причинно-следственной структуре пространства,
а именно, он разделяет всё пространство-время на три части по отношению к вершине:
область абсолютного прошлого
(конус прошлого; все события, которые могли повлиять на событие в вершине), область абсолютного будущего
(конус будущего; все события, на которые влияет событие в вершине конуса)
и область абсолютно удалённого
(события, отделённые от вершины пространственноподобным интервалом, то есть не связанные с вершиной причинно-следственными связями).

>Тело, двигающееся со скоростью выше скорости света
как-бы должно находиться где-то в конусе прошлого и будущего,
а значит связано с событием, в вершине конуса.

Всё это, как-бы намекает на виртуальные частицы.

Для виртуальных частиц, рождающихся и уничтожающихся в процессе взаимодействия — возможны сверхсветовые скорости; Ричард Фейнман в своих лекциях выражался об этом так:

"… there is also an amplitude for light to go faster (or slower) than the conventional speed of light. You found out in the last lecture that light doesn’t go only in straight lines; now, you find out that it doesn’t go only at the speed of light! It may surprise you that there is an amplitude for a photon to go at speeds faster or slower than the conventional speed, c"
— Ричард Фейнман, нобелевский лауреат по физике 1965 года.

Но виртуальные частицы не могут передавать информацию, а наблюдаемые частицы в конечном и начальном состоянии — обычные, к тому же не взаимодействующие друг с другом (см. S-матрица), потому их пропагаторы вне светового конуса исчезают.

Такие дела.
Аноним 11/05/16 Срд 03:40:32  361731
>>361728
Моча может потереть этот пост. Пикчи, с Фейнманом, отклеились.
Аноним 11/05/16 Срд 03:46:42  361733
>>361729
Алсо, если виртуальные частицы таки двигаются со сверхсветовыми скоростями, и если они лежат в конусах будущего и прошлого - значит они влияют на событие в вершине конуса, порождая всякие там флюктуации, бифрукации, аннигиляции
и даже мастурбации в прострации после пеленгации по триангуляции какой-нибудь там рации.
Аноним 11/05/16 Срд 07:52:36  361756
(14Кб, 553x492)
>>361729
Я воспринимаю смысл светового конуса несколько иначе.

Конусообразность и будущего и прошлого связаны с неопределенностью и того и другого. Для начала важно понимать, что время не состоит из некого настоящего, прошлого и будущего. С моей позиции есть только-лишь два совершенно разных объекта - прошлое и будущее, а граница между ними это то, что мы называем настоящим.
Прошлое и будущее являются множествами, а граница между двумя объектами - точка, единое значение.
Проблема вот в чем. Настоящее могло быть получено несколькими путями, то есть существует несколько возможных вариантов прошлого, при котором могло получиться настоящее, следовательно прошлое по определению не должно быть точкой.
Прошлое определяет настоящее и является независимым объектом тут.

С объектом "будущее" дела обстоят хуже. В отличии от настоящего, будущее определено через настоящее И прошлое. Это вполне объясняется логически - если смотреть с позиции наблюдателя в будущем, то точка настоящего должна входить в прошлое. Если же её исключить, то получается, что в прошлом с позиции наблюдателя в будущем не существовало того, что сейчас в настоящем.
Так, переформулирую.
Прошлое и настоящее должны определять будущее, потому что любая точка в будущем будет образовывать конус прошлого, который будет включать себя и прошлое и настоящее.

Надеюсь я объяснил почему прошлое и будущее являются совершенно разными объектами. Прошлое определяется как множество точек, которое могли привести к данной точке-настоящему. Будущее определяется же как множество точек, которые могут быть получены в результате объединения событий прошлого и настоящего (с позиции будущего есть только прошлое, которое включает в себя и прошлое и настоящее).
А ещё проще можно сделать так.
1, 2, 3, 4 - состояния прошлого
1+4 = 5 - настоящее
2+3 = 5 - настоящее

5 + 1 = 6 - возможное будущее
1 + 4 + 1 = 6 - возможное будущее
2 + 3 + 1 = 6... - возможное будущее
И так далее.

Неопределенность прошлого объясняется легко пиком. 1 - приемник фотона, 2 - множество точек, откуда мог прийти сигнал. Как с позиции приемника узнать, с какой именно точки пришел сигнал? Да никак, в какой бы точке излучатель не находился, получится один и тот же результат, одно и тоже настоящее.

Теперь насчет инертности объекта.
Невозможность существования составных сверхсветовых тел объясняется также простой логикой.
Каждый элемент системы (составное тело - система) излучает частицы-переносчики для обмена сигнала с другими элементами системы. В случае сверхсветового движения все сигналы будут поглощены излучателем и тело не будет иметь никакой совершенно связи между друг-другом и распадется на элементарные элементы, разрушая составную систему. Сверхсветовые элементарные элементы не имеют внутренней структуры и параметров, превращаясь в бессмысленные инертные объекты. Их внутреннее состояние не имеет смысла для любого внешнего наблюдателя и наоборот. Они являются действительно элементарными элементами, не образуя совершенно никаких связей с другими элементами системы, таким образом становясь воображаемыми объектами.
Кратко: сверхсветовое движение = воображаемый объект. Эдакий чайник Расселла, который невозможно ни наблюдать ни обнаружить его действие.
Аноним 11/05/16 Срд 11:15:43  361795
>>341186 (OP)
Почему считается, что время появилось после большого взрыва, если до взрыва ничего не было и началом координат отсчета времени он быть не может?
Аноним 11/05/16 Срд 12:32:17  361812
>>361795
Просто ведут отсчёт времени от взрыва. Так же, как христиане ведут отсчёт времени от рождения Иисуса
Аноним 11/05/16 Срд 14:35:21  361838
>>361812
Так ведь мем "большой взрыв" же с теории священника пошел.
Аноним 11/05/16 Срд 16:54:11  361858
(206Кб, 1280x720)
(499Кб, 500x206)
(486Кб, 500x204)
>>361838
Боооольшой ба-да-бум.
Аноним 16/05/16 Пнд 23:26:18  363291
так что решили?
Аноним 16/05/16 Пнд 23:41:12  363294
>>363291
Решили, что после давления на правую часть палки, сдвинется точка опоры
Аноним 23/05/16 Пнд 14:48:29  364698
(38Кб, 829x478)
Линия меееееедленно прокручивается вокруг точки (показано стрелкой). И хочет стать параллельной верхней (горизонтальной).

Она прокручивается, и точка пересечения (красная) уходит все дальше и дальше направо.

Вопрос - при вращении две линии станут параллельными, насколько должна удалиться красная точка вправо, и че там вообще будет в конце то? Как линии разомкнутся?
Аноним 23/05/16 Пнд 16:56:15  364729
>>364698
Если линии бесконечны, то вторая линия под углом в +0 градусов (это бесконечно мало) (при том, что верхняя линия располагается с углом в 0 градусов) коснётся верхнюю линию последний раз. Через мгновение она больше не будет пересекаться с первой, и они сразу же станут параллельны
Аноним 23/05/16 Пнд 18:01:52  364738
>>364729
То есть бесконечные линии так же не имеют конец, как и "+0" не имеет конечного значения.
Это всё из-за тебя, нефиг было про бесконечности спрашивать, иди ты нахуй с такими вопросами. Таких линий не существует. Как и ответа на этот вопрос
Аноним 23/05/16 Пнд 21:46:14  364783
(58Кб, 720x540)
>>341186 (OP)
Я думаю, что Энштейн ничего бы не сказал. Сразу бы в щи переебал.
Аноним 23/05/16 Пнд 21:48:04  364784
>>341480
Хэх, даже сам альберт кричал : "ВРЁТИ!!", когда ему это показали)
Аноним 25/05/16 Срд 02:31:16  365074
Это лучший тред
Аноним 07/06/16 Втр 01:53:53  367725
Смотрите, чувак на луне, а мы светим ему указкой с земли. Только мы ему ПРЕДВАРИТЕЛЬНО сообщили, что если мы не посветим, то это значит 0, а если посветим, единица. Так вот, мы еще даже не включили указку, а информация передалась быстрее скорости света, только за счет нашего вот этого договора.
Аноним 07/06/16 Втр 02:21:43  367727
>>367725
Он эту информацию с собой привёз, лолка. Ты так дойдёшь до стрельбы терабайтными винчестерами.
Аноним 07/06/16 Втр 04:02:44  367729
>>341186 (OP)

вообще ОТО не запрещает движение больше скорости света, если объекты гравитациооно несвязаны и двигаются относительно друг друга за счет расширения пространства, то они могут относительно друг друга двигаться быстрее скорости света, например далекие галактики, которые еще видно, что ни двигаются относительно нас с ускорением, сейчас фактически уже улетели в ебеня и двигаются относительно нас со скоростью выше скорости света, только вот проверить это будет уже невозможно
Аноним 07/06/16 Втр 15:03:44  367790
>>367725
Ну хорошо, сделали вы договор такой, окей.

Вот один из вас в ебенях, а другой на Луне.
И как твой второй узнает светят ли ему или нет?

Вот в назначенное время мудак в ебенях светит на Луну, а мудак на Луне проверяет светят ли ему или нет. И что? Он нихуя не видит, свет до Луны ещё не дошел, вот тебе и дан 0, хотя в действительно 1. Информация никогда не будет точной.

Проще говоря в твоей ситуации информации О ИЗМЕНЕНИИ СОСТОЯНИЯ идет с нормальной скоростью и хуй ты это изменишь.


Если же ты говоришь про договор, то ты не получаешь никакой тут информации, она уже есть. Если один из вас вдруг решит поменять уговор, то второй все равно не сможет узнать, пока вы ему это не передадите.
Аноним 08/06/16 Срд 02:06:46  367957
>>341186 (OP)
писали уже что деформация шеста происходит со скоростью звука в нем?
Аноним 08/06/16 Срд 10:44:34  367986
(13Кб, 899x592)
>>341186 (OP) Ну почему ОПУ мудаку ещё ни разу не объяснили что такой вещи, как абсолютно упругое тело, не существует.
Нет ложки Нео, блядь. Нет ни вилки не ложки. Есть куча атомов связанных межатомными связями. И если ты толкнёшь, хоть в какую сторону свой дрын, то взаимодействие между атомами один хуй будет с досветовой, с сильно до световой скоростью. А если сильно дёрнёшь то палка твоя нахуй сломается или сожмётся на хуй.
Аноним 08/06/16 Срд 12:02:26  368005
>>341186 (OP)
Интересует еще вопрос, пока речь про скорость света. Имеем два корабля, которые могут разогнатся, скажем до 0.9 скорости света. Делают они это, лет за 5 например, неважно. Они начинают разгон в противоположные стороны из одной точки, где то в межгалактическом пространстве. Как измерять им скорость относительно друг друга? Логика говорит что скорость относительно друг превысит световую, но разум подсказывает что нихуя не все так просто. Подскажите в чем подвох?
Аноним 08/06/16 Срд 13:26:35  368037
Ебать тут дауны собрались, думал ваш раздел посерьезнее.
мимогуманитарий
Аноним 09/06/16 Чтв 08:38:49  368266
>>368005
релятивистское сложение скоростей гугли
Аноним 10/06/16 Птн 00:05:20  368504
>>368005
Очевидно же: просто сигналить друг другу с постоянной частотой. Зная исходную частоту, легко вычислить реальную скорость обеих кораблей, по красному смещению.
Вот как это делается:

http://arhivach.org/thread/118255/
парадокс - это несоответствие видимого течения времени на обьекте ожидаемому течению времени, исходя из относительной скорости
наблюдая парадоксы, можно вычислить свою и чужую скорости, и скорректировать видение ситуации.
всегда следует оценивать подобные ситуации как минимум из трех разных систем отсчета: неподвижной, связанной с первым обьектом, и связанной со вторым.

Таким образом вся ТО сводится к одной простой идее: ваша скорость восприятия зависит от вашей скорости движения. Все!
А уже исходя из этой идеи, и учитывая скорость движения света, и то, что мы видим через свет, можно обьяснить и все остальное: почему обьекты синеют или краснеют для нас? Почему мы их видим не там, где они есть? Почему они летают на сверхсветовых скоростях, нарушая запрет? И многое другое.

Например есть два сыча, один разогнался на 8/10 световой, второй на 5/10 световой. Допустим что их время напрямую зависит от скорости (это не так, но допустим) , т.е. у первого сыча время замедленно в 5 раз, у второго - лишь в два.
При этом посередине их пути расположена неподвижная планета.
Вопросы такие: Как будут сычи воспринимать друг друга и планету? Как планета будет воспринимать сычей?
Ответим, используя ту простую идею:

У быстрого сыча время замедленно в 5 раз, а глобальная скорость 8/10 световой, это относительно планеты. Значит этот сыч будет видеть, как планета приближается к нему со скоростью в 8/10 световой помноженной на замедление времени (5 раз) , значит он видит (зная расстояние), что планета на него летит со скоростью в 40/10 световой, т.е. вчетверо быстрее скорости света, при этом, из-за замедления времени, свет от нее смещен в синюю часть спектра. В чем парадокс: реальная скорость 8/10 световой, так что сыч будет получать картинку планеты в правильной последовательности, если например ему проиграть на ее поверхности кинцо - он увидит его синим, впятеро ускоренным, но в правильном порядке кадров.
Относительная скорость второго сыча 8/10 + 5/10 = 13/10 световой, т.е. относительная - сверхсветовая, замедление времени неизменно - 5 раз, значит первый сыч увидит второго летящим на скорости 13/10 умножить на 5 = 65/10, т.е. на 6,5 световой. Картинка второго сыча будет еще более синей - во первых он движется, значит испускаемые им волны смещены в синюю часть спектра, и любой неподвижный анон, в т.ч. на планете, увидит его немного синим, а во вторых первый сыч тоже движется навстречу, значит эта синяя картинка посинеет еще сильнее - первый сыч будет видеть второго вдвое синее, чем второго сыча видит планета. Далее парадокс: т.к. реальная скорость второго сыча таки ниже световой, значит он точно также не обгоняет свет, и виден и второму сычу и планете в верной последовательности кадров, хоть и нереально синим.

Теперь переходим в систему отсчета планеты:
Время для планеты течет без замедления, планета неподвижна. Это значит она видит обоих сычей на их реальной скорости, первого на 8/10 световой и синим, второго на 5/10 световой, голубоватым. Никто из них с точки зрения планеты не превышает световую, но их скорость сближения выше световой - банальное сложение скоростей. Никаких парадоксов нет.

Переходим в систему отсчета второго сыча:
На него планета надвигается со скоростью 5/10 световой, из-за этого она немного голубоватая. Время замедленно в 2 раза, значит картинка планеты вдвое ускорена, и сыч видит ее движущейся на световой скорости. Парадокс есть: наблюдаемая скорость планеты - световая, но при этом спектр лишь немного голубоват, и... кинцо на ее поверхности хоть и ускорено вдвое, но идет, значит время планеты не заморожено - она никуда не движется! Хотя визуально - летит на световой, и время должно быть заморожено. Отсюда можно сделать вывод: наблюдаемая скорость не соответствует реальной, из-за несоответствия наблюдаемого течения времени на планете и ожидаемого.
На второго сыча первый летит на скорости 8/10+5/10=13/10, т.е. на сверхсветовой, его спектр синий. Второй сыч, из-за вдвое замедленного времени, наблюдает его как движущегося со скоростью 26/10, т.е. 2,6 световой, и гораздо синее, чем есть. Парадокс также присутствует: несмотря на наблюдаемую сверхсветовую скорость, кинцо первого сыча замедленно лишь вдвое,хотя и очень-очень синее.


Аноним 10/06/16 Птн 23:12:48  368768
>>368504
>У быстрого сыча время замедленно в 5 раз, а глобальная скорость 8/10 световой, это относительно планеты. Значит этот сыч будет видеть, как планета приближается к нему со скоростью в 8/10 световой помноженной на замедление времени (5 раз) , значит он видит (зная расстояние), что планета на него летит со скоростью в 40/10 световой
Антош, а ты тут, часом, не обосрался? Время у сыча замедлено если наблюдать с планеты. Сам же сыч считает, что у него всё заебись, время идёт как положено и вообще он не двигается а ахуевшая планета пиздует на него на скорости 8/10 световой.
Аноним 11/06/16 Суб 08:06:26  368788
>>368768
Это древняя паста.
И там все ок.

У каждой частицы свое время, и, если отбросить тонкости, зависит оно от ее скорости относительно пространства вокруг.
Это упрощенное обьяснение, и оно верно далеко не для всех случаев, но большинство и это еле понимают, так что просто не буду вдаваться в детали.

Т.е. даже для разных частей одного тела время может течь по разному.
Ок?

Идем дальше:
зависимость скорости течения времени от скорости частицы грубо говоря обратно пропорциональна, т.е. чем быстрее летим, тем медленнее течет время.
Это называется замедлением времени, и обычно указывается только множитель, т.е. 2х - двукратное замедление, одна секунда для движущейся частицы равна двум секундам для неподвижных частиц.
Ок?

Замедление проще всего вычислять по формуле dt=1/(c-v).
В реале зависимость конечно чуть сложнее, но для обьяснения лучше, чтобы было как можно проще - суть эта примитивная формула передает верно.

По этой формуле выходит, что при 8/10 световой замедление составит 1/(1-0.8) = 1/0.2 = 5 раз.
Т.е. пока у сыча пройдет одна секунда, во вселенной пройдет уже пять секунд.
Ок?

Идем дальше:
Реальная скорость сыча 8/10 световой.
Это его истинная скорость, та, с которой он движется относительно пространства.
Та, с которой его наблюдают все вокруг.

Планета видит, как на нее летит сыч со скоростью 8/10 световой. Она неподвижна - она видит истинную скорость.

А вот сам сыч подвижен, и испытывает замедление времени, поэтому видит все вокруг через это замедление.

За секунду он пролетает 8/10 световой секунды, но т.к. у него замедление в 5 раз, то пока для вселенной проходит одна секунда, для него него проходит всего 0.2 секунды.

Т.е. он видит, что пролетает 8/10 световой секунды (по изменению расстояния до планеты) всего за 0.2 секунды по своим часам.
Чтобы узнать скорость, он естественно домножает 0.2 на 5, и получает, что его скорость (8/10)*5 = 40/10 = 4 световой!

Сыч в шоке: по его часам он на сверхсветовой!
"Но ведь это же невозможно!" - думает он.
И он совершенно прав - это невозможно. В реале его скорость так и осталась 8/10 световой, просто теперь ему ее переносить комфортнее, потому что время для него летит медленнее. Но зато для окружающей вселенной оно идет быстро.
За год по своим часам сыч пролетит 4 светового года на 4 световой скорости, но когда затормозит, обнаружит, что вселенная постарела не на год, а на 5 лет, и когда поделит 4 световых года на 5 лет пути - получит те самые 0.8 светового года в год, или 0.8 световых - истинную скорость, с которой он двигался.
Чудес не бывает - сыч наебал только самого себя.


И вот чтобы такого пиздеца не было, суч обязан знать свою истинную скорость, не смотря на то, что время играет с ним шутки, отказываясь течь с той же скоростью, как на его родной планете.

Вот для вычисления своей истинной скорости и нужно искать парадоксы - именно они намекают, что сыч видит не то, что происходит в реале, что что-то не так с его восприятием.

И первый такой парадокс - он наблюдает планету на скорости в 4 световой, но в то же время она находится в видимом оптическом диапазоне! Серьезная нескладуха!
Сыч знает, что уже на 1 световой планета обязана улететь по спектру в крайне правую черную область, т.е. стать невидимой, ее частота сигналов улетает в бесконечность, и ни один датчик физически не может принять ее изображение. Изображение планеты сливается с квантовыми шумами пространства - она "тает" в пространстве, буквально растворяется.
Но раз сыч видит ее - этого не произошло. Парадокс!

А если сыч верит, что при превышении световой время должно пойти в спять, на 4 световой ее частота должна уползти вообще в красный спектр, упасть в 4 раза, и сигналы должны приниматься в обратной последовательности.
Но и этого тоже не происходит - планета смещена всего чуть-чуть в синий спектр, и порядок сигналов верный. Парадокс!

По верному порядку сигналов сыч может сделать однозначный вывод: он так и не прошел световую скорость.
По слабому синему смещению спектра он может точно вычислить свою истинную скорость - 8/10 световой.

Истинная скорость известна - сыч может принимать решения, руководствуясь реальным положением дел, а не наблюдаемым, может применять коррекции к наблюдаемой картинке, находить реальные координаты и скорости окружающих обьектов, и вообще выполнять полноценную навигацию, как будто время не меняло ход.
Т.е. он находит коэффициент замедления своего времени, и корректирует все свои процессы на этот коэффициент, чтобы не попасть впросак, когда из-за неверно вычисленной скорости прибудет не туда или не тогда когда его ожидают.
sage sage 11/06/16 Суб 08:56:18  368791
>>368504
В россии открыли спектральный анализ! Шок! СЕНСАЦИЯ!
Аноним 11/06/16 Суб 10:39:28  368797
(25Кб, 1000x936)
>>368788
Отсюда кстати забавное следствие:
Сыч может превысить световую на сколько угодно.
Пик - таблица.

Но в реальности он все-равно не превысит световую. Превышение - это иллюзия.
Аноним 26/06/16 Вск 17:58:21  371469
>>367986
А если пренебречь?
Аноним 26/06/16 Вск 23:34:01  371552
А разве не анрил превысить скорость света? Если тело имеет массу конечно же
Аноним 27/06/16 Пнд 00:06:26  371560
>>371552
Зависит от точки зрения.
Аноним 27/06/16 Пнд 00:47:50  371564
>>367729
>проверить это будет уже невозможно
Надо не забыть спросить у чуваков оттуда когда вселенная будет коллапсировать.
Аноним 27/06/16 Пнд 01:13:33  371566
>>341186 (OP)
Если у тебя получится создать абсолютно твёрдое тело, в котором сигналы будут распространяться моментально, то это будет означать что оно бесконечно мало, иначе нарушался бы постулат ТО. Если же нам такое тело кажется макроскопическим, то значит мы сами бесконечно малы. Тогда наша вселенная на самом деле всего лишь точка, и все расстояния в ней равны нулю. Парадоксы пропадают. Конечно у нас были некоторые иллюзии на этот счёт, но создание бесконечно твёрдого тела их развеяло.
А просто мы расстояния меряли неправильно. Мы к ним линейку длины 0 прикладывали и получали чёрт знает что.
Ну и реальная скорость света тогда окажется бесконечна с нашей точки зрения. А то что мы не видели до этого ничего быстрей 3E8 м/с - наши личные проблемы, просто в нашем болоте всё очень медленное.

Короче делай свой шест, он на Нобелевку тянет.
Аноним 27/06/16 Пнд 09:13:23  371595
>>371566
Вот видишь, даже в твоей модели парадоксы. Скорость света все-равно есть, просто настолько большая, что кажется бесконечностью.
Аноним 27/06/16 Пнд 11:47:06  371609
>>371469
А ты не охуел законами физики пренебрегать? Если забить на половину законов, то, конечно, всё возможно
Аноним 27/06/16 Пнд 13:40:20  371621
эта толстота ещё с ферваля висит! А ведь сейчас только почти 3/10 постов от максимального ну не совосем количества.
Аноним 27/06/16 Пнд 13:48:14  371622
>>341186 (OP)
если шест будет из фантастического негнущегося материала, то приложив к короткому концу бесконечную силу ты будешь бесконечно ждать пока длинный конец будет приближаться к скорости света но так её и не достигнет
Аноним 27/06/16 Пнд 14:48:22  371645
>>371622
Достигнет, просто мы никак не увидим эту скорость.
Аноним 27/06/16 Пнд 19:46:59  371731
>>371645
>>371622
Ничто не мешает ему достигнуть световой и с гнущимся шестом, и мы это даже увидим, причем спокойно.
Аноним 01/07/16 Птн 13:40:58  372637
>>371731
Мешает. Чтобы шест повернуть, нужна точка опоры
Аноним 01/07/16 Птн 14:38:05  372647
>>372637
Точка опоры есть по дефолту. Так что ничто.
Аноним 02/07/16 Суб 00:43:21  372791
вселенная сломается
Аноним 02/07/16 Суб 00:50:04  372795
>>371566
>ороче делай свой шест, он на Нобелевку тянет
правда?
Аноним 03/07/16 Вск 09:44:17  373062
>>341409
ты глупый?
Аноним 05/07/16 Втр 01:54:35  373653
>>371622
Рассуждения уровня «Кто круче - Халк или Железный человек?»
Аноним 05/07/16 Втр 09:52:54  373688
>>341351
Проиграл
Аноним 05/07/16 Втр 10:11:32  373691
>>373653
Халк. Ему не надо костюм надевать и он одновременно йоба силач и йоба ученый.
Аноним 17/09/16 Суб 00:28:48  387897
бамп годному треду
Аноним 17/09/16 Суб 08:09:35  387913
(13Кб, 900x596)
>>341186 (OP)
Итак, что тут у нас:
Палка не гнётся, да. Совсем не гнётся. Похуй, что такого вещества не существует. Пренебрегли, ладно.
Красная толстая стрелка это сила. Я правильно понял? Будем считать что правильно. Дохулион силы, прям сколько хочешь. Ну ок.

Знаете, что произойдёт? Ахахаха! Блять!
Точка опоры сдвинется вместо дальнего конца палки. Вот и вся физика.
Аноним 17/09/16 Суб 16:01:47  387951
>>342805
Отличная идея, буду тралеть доску через месяц
Аноним 17/09/16 Суб 16:45:00  387960
>>387913
Дорисуй вместо точки опоры еще одну красную стрелку, но в противоплложном направлении от уже нарисованной.
Аноним 17/09/16 Суб 17:42:19  387973
>>387960
Что изменится?
Аноним 17/09/16 Суб 23:33:58  388024
Вот вам Преодоление скорости света:
Вася Пупкин крутится на своём стуле.
Тем временем, относительно него, всё что находится дальше Тс/Пи будет двигатся быстрее с.
где.
Т-период оборота
с-скорость света
Аноним 17/09/16 Суб 23:35:14  388025
Естественно в плоскости вращения, стремясь к 0 у полюсах.
>>388024
Аноним 18/09/16 Вск 04:04:10  388039
(5Кб, 315x360)
>>388024
>относительно него
>будет
вращаться, но не
>будет двигатся
>Т·с/Пи, где
>Т-период оборота
>с-скорость света
Что это? Откуда это?
Аноним 18/09/16 Вск 10:55:30  388069
>>388039
Это уникальная всем известная идея. Обернись вокруг себя и скажи с какой скоростью относительно тебя крутится вокруг тебя весь остальной мир.
Аноним 18/09/16 Вск 12:33:02  388086
>>388069
То, что объект или частица вращается со скоростью света, не значит, что он движется со скоростью света.
Аноним 18/09/16 Вск 13:40:57  388100
>>388024
А хули толку. Как бы вася ни выкручивался, взаимодействия от этого быстрее передаваться не станут. Т.е. тебе будет казаться, что вся вселенная станет двигаться со сверхсветовой скоростью, а на самом деле вселенная будет стоять на месте и с недоумением смотреть на крутящегося долбоёба.
Аноним 22/09/16 Чтв 19:06:55  389088
>>341186 (OP)
Ты только что описал свет.
Аноним 23/09/16 Птн 16:17:07  389227
>>341335
>материальный "зайчик"
Тут-то ты и обосрался
Аноним 23/09/16 Птн 18:26:21  389268
>>389227
Излучение это материя.
Аноним 25/09/16 Вск 00:51:36  389512
>>341186 (OP)
Нет. Шест будет гнуться.

НО, есть важное, но, скорости более скорости света достижимы, если это скорости вызванные хаббловским потоком.
Приведу пример: во вселенной полно галактик, которые двигаются относительно нас быстрее скорости света в следствии постоянной Хаббла, просто потому, что они от нас очень далеки и пространство расширяется быстрее c. Какие-то из этих галактик даже видим, кек.
Аноним 25/09/16 Вск 01:48:09  389515
Итак, если шест и опора будут идеальными (достаточно плотными), то в абстрактной модели достижение $с$ возможно.
Аноним 25/09/16 Вск 18:35:49  389555
>>341186 (OP)
Бор дал вам квантовую запутанность со скоростью > скорости света, не хочу ебаться с квантовой запутанностью, лучше придумаю ебучий шест.
Аноним 24/11/16 Чтв 12:04:41  397325
>>341215
Два чаю
Аноним 24/11/16 Чтв 12:56:00  397338
>>397325
Зарепортил гниду.
Аноним 24/11/16 Чтв 14:15:20  397351
>>341304
какой же ты тупой, ты с урока двачуешь что ли?
Аноним 24/11/16 Чтв 14:19:21  397352
>>397338
кккккк
Аноним 13/12/16 Втр 16:41:05  398917
>>341186 (OP)
Шест не должен сгибаться в таком случае, а при такой длине и отношении его диаметра и длины, это задачка уровня что будет если неостановимое тело врежется в непробиваемый объект.
Аноним 14/12/16 Срд 02:21:37  398959
>>341186 (OP)
Упругая деформация шеста в разы превзойдет твою теорию относительности.
Брать в качестве примера абсолютно жесткий материал абсурдно, т.к. такого в природе не существует.
Аноним 15/12/16 Чтв 04:03:21  399062
>>398959
да ты чё
Аноним 15/12/16 Чтв 15:05:51  399087
>>341186 (OP)
> 170 ответов
Анон, у вас что серьезно тут все так плохо?
мимо редко сюда захожу
Аноним 15/12/16 Чтв 16:23:50  399088
>>399087
Из старой школы все съебали уже, теперь тут мейлру.
Аноним 04/01/17 Срд 10:04:57  400898
>>341187
Шест весит 1 грамм. Пососал?
Аноним 22/01/17 Вск 02:54:37  402535
>>400898
при разгоне до субсветовых скоростей масса другого конца шеста будет стремиться к бесконечности. То есть сдвинуть шест ты сможешь, но до определенной скорости, которая будет меньше скорости света, а потом просто дать еще скорости будет бесконечно тяжело, и все. Скорость света преодолеть не удастся никак. Даже если масса всего шеста будет 0,00000000000000001 грамма или в трилионы раз меньше, значение это не имеет.
Скорость света можно будет достить чтолько если шест не будет иметь никакой массы вообще.
Объект, имеюший массу- не сможет
Аноним 22/01/17 Вск 08:52:50  402541
>>402535
Формулу энергии в студию!
Аноним 22/01/17 Вск 08:54:45  402542
>>399088
Куда събали не подскажешь? А то я захожу по старой привычке, а тут ведра в космосе и крутящиеся палки в бамплимите. Назад в будущее, лол.
Аноним 22/01/17 Вск 14:04:01  402547
>>402542
куда тебе съёбывать, когда ты не можешь разгадать задачу ОП поста
Аноним 22/01/17 Вск 20:18:15  402580
70349.gif (30Кб, 2048x1596)
70350.gif (33Кб, 2048x1620)
>>402541
формула массы и импульса при субсветовых скоростях
Аноним 23/01/17 Пнд 00:34:40  402618
>>402547
Какую загадку?
Аноним 23/01/17 Пнд 05:03:34  402631
image.jpeg (60Кб, 604x604)
Почему у гравитационного и электромагнитного взаимодействия одинаковая скорость? Они что сговорились?
Аноним 23/01/17 Пнд 07:24:46  402632
>>402535
А как же тогда газ в джетах квазара разгоняется до скорости света? Молекулы газа же имеет массу.
Аноним 23/01/17 Пнд 08:39:55  402633
>>402632
он не разгоняется до скорости света значит. Мжет разогнаться до скоростей, близких к скорости света, но и тогда каждая такая молекула будет весить много килограмм, но достичь именно скорости света не может все равно.
Аноним 23/01/17 Пнд 18:05:35  402696
>>402633
>>весить много килограмм
шта?
Аноним 23/01/17 Пнд 18:09:22  402698
>>402580
Это ошибочные формулы. Почитайте Окуня "понятие мвссы" https://mipt.ru/education/chair/physics/S_I/method/Okun.pdf
Аноним 23/01/17 Пнд 20:40:37  402721
>>402696
Я процитирую из хорошей книги:

"Если скорость частицы всего лишь на 90 км/с меньше скорости света, то ее масса увеличивается в 40 раз. Мощные ускорители для электронов способны разгонять эти частицы до скоростей, которые меньше скорости света лишь на 35—50 м/с. При этом масса электрона возрастает примерно в 2000 раз. Чтобы такой электрон удерживался на круговой орбите, на него со стороны магнитного поля должна действовать сила, в 2000 раз большая, чем можно было бы предполагать, не учитывая зависимости массы от скорости."

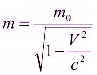
Далее масса будет неебически возрастать к бесконечности.
Аноним 23/01/17 Пнд 21:05:06  402727
>>402721
Выброси, нет, книги выбрасывать нехорошо. Отдай кому-нибудь...
А лучше пройди по ссылки, чтобы головы не морочить другим>>402698
Аноним 24/01/17 Втр 12:32:16  402769
>>341215
>Скорость звука в шесте меньше скорости света в вакууме
Двачую
Аноним 24/01/17 Втр 14:36:41  402780
>>368504
>неподвижная планета.
А что, бывают неподвижные планеты? Относительно чего не подвижная?

[Назад][Обновить тред][Вверх][Каталог] [Реквест разбана] [Подписаться на тред] [ ] 191 | 19 | 133
Назад Вверх Каталог Обновить

Топ тредов
Избранное