[Ответить в тред] Ответить в тред

30/09/16 - BREAKING NEWS ШОК АБУ ПРОДАЛСЯ МЭЙЛУ (на самом деле нет)
25/09/16 - Персональное обращение Абу - СБОР ПОЖЕРТВОВАНИЙ НА ДВАЧ
24/09/16 - Персональное обращение Абу


Новые доски: /2d/ - Аниме/Беседка • /wwe/ - WorldWide Wrestling Universe • /ch/ - Чатики и конфочки • /int/ - International • /ruvn/ - Российские визуальные новеллы • Создай свою

[Назад][Обновить тред][Вниз][Каталог] [ Автообновление ] 65 | 44 | 13
Назад Вниз Каталог Обновить

Аноним 08/10/16 Суб 23:41:03  137455946  
14759592640380.png (3Кб, 292x92)
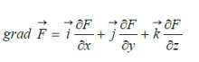
Суп, /b/@меил.ру. Есть одно неявное уравнение кривой F(x, y) = 0. Нужно накодить прогу, чтобы она построила эту кривую и в любой точке, что я выберу, строила к точке касательную и вектор нормали. В общем у меня есть одна непонятка сходу. Есть вот такая в методичке формула, как на пикрелейтед. Нужно найти частные производные по x, по y и по z. Но частные производные то у функций нескольких переменных ищутся, верно? Так вот. Мне получается ведь тоже нужно как-то по x и по y найти? Как мне это сделать? Пробовал выражать x и y из уравнения, но это как-то не то, наверное. В общем математик кун призывается, а также любой анон, который сможет пояснить. Буду бампать всем, что попадётся под руку.
Аноним 08/10/16 Суб 23:41:24  137455968
14759592849490.jpg (240Кб, 620x479)
Аноним # OP  08/10/16 Суб 23:41:55  137455999
14759593159360.jpg (54Кб, 446x600)
Аноним # OP  08/10/16 Суб 23:42:11  137456011
14759593312430.jpg (54Кб, 480x720)
Аноним # OP  08/10/16 Суб 23:42:48  137456048
14759593687000.png (235Кб, 583x520)
Аноним # OP  08/10/16 Суб 23:43:04  137456067
14759593850210.png (262Кб, 524x358)
Аноним # OP  08/10/16 Суб 23:43:23  137456095
14759594040060.png (96Кб, 2139x2139)
Аноним # OP  08/10/16 Суб 23:43:47  137456115
14759594273510.jpg (70Кб, 506x543)
Аноним # OP  08/10/16 Суб 23:44:11  137456134
14759594512680.jpg (16Кб, 495x512)
Аноним # OP  08/10/16 Суб 23:44:31  137456151
14759594714410.jpg (75Кб, 506x600)
Аноним # OP  08/10/16 Суб 23:44:54  137456165
14759594945050.png (233Кб, 600x800)
Аноним # OP  08/10/16 Суб 23:45:43  137456209
14759595433830.jpg (86Кб, 604x604)
Аноним 08/10/16 Суб 23:45:52  137456217
Котаны, хочу уметь решать вот эти градиенты да и вообще дифуры. Как научиться и сколько времени придется учиться дауничу, который любил математику в школе?
Аноним # OP  08/10/16 Суб 23:51:12  137456537
>>137456217
Да фиг знает. В универе часто дают простые алгоритмы решений. По подобию решать. Потом ещё и проверить есть кому.
Аноним # OP  08/10/16 Суб 23:51:31  137456556
14759598918450.jpg (31Кб, 604x393)
Аноним # OP  08/10/16 Суб 23:52:17  137456604
14759599376800.jpg (76Кб, 512x512)
Аноним # OP  08/10/16 Суб 23:52:58  137456636
>>137456217
блть вот хули они игнорят? Ведь сотка тут есть где-то математик кун, или просто хоть лучше меня_в_математике-кун
Аноним # OP  08/10/16 Суб 23:55:19  137456766
14759601194970.jpg (122Кб, 788x804)
ДА ПОМОГИТЕ ПОЖАЛУЙСТА!!!!
Аноним # OP  08/10/16 Суб 23:56:22  137456822
14759601828320.jpg (404Кб, 1000x500)
талон тому, кто поможет
Аноним 09/10/16 Вск 00:02:41  137457184
>>137455946 (OP)
https://www.google.ru/search?q=%D1%84%D0%BE%D1%80%D0%BC%D1%83%D0%BB%D0%B0+%D0%B4%D0%B8%D1%84%D1%84%D0%B5%D1%80%D0%B5%D0%BD%D1%86%D0%B8%D1%80%D0%BE%D0%B2%D0%B0%D0%BD%D0%B8%D1%8F+%D1%87%D0%B0%D1%81%D1%82%D0%BD%D1%8B%D1%85+%D0%BF%D1%80%D0%BE%D0%B8%D0%B7%D0%B2%D0%BE%D0%B4%D0%BD%D1%8B%D1%85&newwindow=1&safe=off&hl=ru&biw=1366&bih=613&site=webhp&source=lnms&tbm=isch&sa=X&ved=0ahUKEwjM7rCqjczPAhXFVywKHTnQAQIQ_AUIBigB#imgrc=5xAci4Iwm4LjKM%3A
Аноним # OP  09/10/16 Вск 00:08:42  137457528
14759609229100.jpg (325Кб, 1430x2000)
>>137457184
Т.е. мне нужно взять вот моё уравнение, состоящее из икса, игрека, числа и косинуса от икс там (не помню точно) = 0, найти от всей этой конструкции производную сначала по иксу, принимая игрек за константу, а потом результат продифференцировать, принимая икс за константу, так? Как-то странно. Ты точно уверен, что это то что надо, анончик?
Аноним # OP  09/10/16 Вск 00:09:44  137457582
14759609848720.jpg (78Кб, 540x807)
Аноним 09/10/16 Вск 00:09:49  137457586
>>137455946 (OP)
Test
Аноним # OP  09/10/16 Вск 00:10:19  137457625
14759610199850.png (92Кб, 300x300)
Аноним # OP  09/10/16 Вск 00:10:38  137457641
14759610387400.jpg (40Кб, 470x604)
Аноним # OP  09/10/16 Вск 00:11:05  137457658
14759610650960.jpg (185Кб, 600x600)
Аноним # OP  09/10/16 Вск 00:11:36  137457683
14759610964710.jpg (163Кб, 884x902)
Аноним 09/10/16 Вск 00:11:48  137457694
>>137457528
> принимая игрек за константу
This
Аноним # OP  09/10/16 Вск 00:13:44  137457819
14759612243020.jpg (247Кб, 484x1300)
>>137457694
Не понял, а перед этим то что я написал - не правильно? Т.е. не нужно делать сначала по икс, потом по игрек? Или надо? Нужно так оставить уравнение приравненым к 0 или надо что-то там выразить? Я не понимаю до конца. Объясни подробнее, пожалуйста, что ты имеешь ввиду?
Аноним # OP  09/10/16 Вск 00:14:02  137457838
14759612428120.jpg (42Кб, 467x604)
Аноним # OP  09/10/16 Вск 00:14:19  137457859
14759612598950.jpg (68Кб, 600x360)
Аноним # OP  09/10/16 Вск 00:14:39  137457877
14759612791370.png (587Кб, 1280x720)
Аноним # OP  09/10/16 Вск 00:15:03  137457910
14759613032880.jpg (53Кб, 417x417)
Аноним 09/10/16 Вск 00:15:14  137457927
14759613148440.jpg (37Кб, 680x674)
>>137457819
Это в школе проходят
Аноним 09/10/16 Вск 00:17:59  137458078
Поисковый бамп
Аноним 09/10/16 Вск 00:18:28  137458113
>>137457927
Ну, ты понимаешь вообще что я спрашиваю?

Есть у меня уравнение кривой, заданное не явно. F(x, y) = 0. Мне нужно как-то применить формулу из оп-поста. Для этого значит частные производные по X и по Y. Я не могу влететь как я буду искать частные производные для функции от одной переменной. Как мне в функции, заданной не явно это делать? Выразить или нет?

>>137458078
Гугл мне хуёво помог.
Аноним 09/10/16 Вск 00:18:38  137458123
>>137455946 (OP)
вот есть у тебя кривая x^2+y^2-25 = 0.
это такой F(x,y). выбираешь точку (3,4)
считаешь в ней F'x F'y, это будет 2х 2у|x,y=3,4 соответственно. нормируешь на единицу, например, получается 3/5 4/5. это нормаль. умножаешь на {{0 1},{ -1 0}}, получаешь касательную. в чем проблема?
Аноним 09/10/16 Вск 00:20:27  137458237
>>137458113
у тебя неявно задана функция y(x), а F(x,y) у тебя задана вполне явно. и dF/dx искать для нее надо просто считая что все y.. это константы.
Аноним 09/10/16 Вск 00:22:43  137458376
Что тебе объяснить?
У тебя есть неявная функция F(x,y)=0, ее градиент будет коллинеарен вектору нормали, а вектор качательной перпендикулярен, что тебе еще нужно?
Аноним 09/10/16 Вск 00:26:19  137458580
>>137458113
Но у тебя же функция двух переменных.
Аноним 09/10/16 Вск 02:06:15  137463832
14759679753540.jpg (34Кб, 993x960)
Аноним 09/10/16 Вск 03:06:29  137466347
>>137458113
А как посчитать полную производную через частные?
Аноним 09/10/16 Вск 08:18:31  137470902
>>137455946 (OP)
Попробуй вычислить производные в точках с помощью численных методов
Аноним 09/10/16 Вск 09:39:33  137472459
>>137470902
Зачем, если он знает уравнение и может руками посчитать?
Аноним 09/10/16 Вск 09:41:26  137472513
>>137455946 (OP)
>Нужно найти частные производные по x, по y и по z.
>по z
Ты же выше пишешь, что у тебя кривая на плоскости (z в уравнении нет). ЯННП
Аноним 09/10/16 Вск 11:18:57  137475651
>>137472513
Ну, просто в формуле так. Я не могу понять как мне с моим уравнением сделать, где функция одной.

>>137470902
И значит я посчитаю только одну производную? В формуле их несколько.
Аноним # OP  09/10/16 Вск 12:44:15  137479687
14760062557740.png (783Кб, 999x621)
Аноним # OP  09/10/16 Вск 12:44:33  137479699
14760062734820.jpg (57Кб, 600x576)
Аноним # OP  09/10/16 Вск 12:44:49  137479707
14760062893580.jpg (53Кб, 417x417)
Аноним # OP  09/10/16 Вск 12:45:06  137479724
14760063068180.jpg (40Кб, 470x604)
Аноним # OP  09/10/16 Вск 12:45:22  137479738
14760063229460.jpg (27Кб, 604x604)
Аноним # OP  09/10/16 Вск 12:45:54  137479754
14760063549820.jpg (41Кб, 555x555)
Аноним # OP  09/10/16 Вск 12:46:14  137479769
14760063749400.jpg (206Кб, 1920x1080)
Аноним # OP  09/10/16 Вск 12:46:39  137479790
14760063998550.jpg (135Кб, 1920x1080)
Аноним # OP  09/10/16 Вск 12:47:10  137479811
14760064309210.jpg (28Кб, 330x474)
Аноним 09/10/16 Вск 13:21:34  137481493
>>137458376
Этот дело говорит. Делай так.
Аноним 09/10/16 Вск 13:23:56  137481603
>>137481493
Мне нужно тупо чтобы показали как мне найти производную по X и по Y для x - cos^2(y) + 4 = 0 и всё.
Аноним # OP  09/10/16 Вск 13:25:40  137481689
14760087407450.jpg (127Кб, 1024x1106)
Аноним # OP  09/10/16 Вск 13:26:01  137481699
14760087618280.jpg (877Кб, 768x1023)
Аноним # OP  09/10/16 Вск 13:26:31  137481720
14760087913280.jpg (22Кб, 604x340)
Аноним # OP  09/10/16 Вск 13:26:50  137481734
14760088103260.jpg (294Кб, 554x800)
Аноним 09/10/16 Вск 13:27:49  137481772
Сажи дауну
Аноним # OP  09/10/16 Вск 13:28:12  137481788
14760088930240.jpg (72Кб, 843x1200)
Аноним # OP  09/10/16 Вск 13:28:51  137481817
14760089315820.jpg (61Кб, 663x873)
Аноним 09/10/16 Вск 13:41:50  137482401
>>137481603
Чтобы найти по x:
просто все остальные переменные принимаешь константами.
∂(x - cos^2(y) + 4)/∂x = ∂(x)/∂x + ∂(-cos^2(y))/∂x + ∂(4)/∂x = 1.

С y так же делаешь.
Аноним 09/10/16 Вск 13:57:31  137483231
>>137482401
Это точно правильно? Просто мне это немного странным кажется.

[Назад][Обновить тред][Вверх][Каталог] [Реквест разбана] [Подписаться на тред] [ ] 65 | 44 | 13
Назад Вверх Каталог Обновить

Топ тредов
Избранное